
मोटर गति नियंत्रण किसी कार्य की सटीक जरूरतों को पूरा करने के लिए एक मोटर कितनी तेजी से समायोजित करता है।यह केवल गति को यादृच्छिक रूप से बदलने के बारे में नहीं है, यह मोटर के व्यवहार से मेल खाने के बारे में है कि सिस्टम को किसी भी समय क्या आवश्यक है।फाइन-ट्यून स्पीड की यह क्षमता ऊर्जा दक्षता में सुधार करती है, यांत्रिक तनाव को कम करके उपकरण जीवन का विस्तार करती है, और संचालन में बेहतर सटीकता सुनिश्चित करती है।उदाहरण के लिए, लाइन के स्पष्ट होने पर एक कन्वेयर को नाजुक वस्तुओं के लिए धीमा करने या गति को धीमा करने की आवश्यकता हो सकती है।इलेक्ट्रिक मोटर्स को अक्सर बदलते भार, कार्यों या वातावरण के अनुकूल होना पड़ता है।समायोज्य गति के बिना, मोटर्स केवल एक निश्चित गति से चलेंगे, जिससे वे कम उपयोगी और कम कुशल होंगे।
विद्युत इनपुट को समायोजित करके गति को नियंत्रित किया जाता है।एसी मोटर्स में, इसका मतलब आमतौर पर बिजली की आपूर्ति की आवृत्ति को बदलना है।डीसी मोटर्स में, वोल्टेज परिवर्तन अधिक सामान्य हैं।कुछ सिस्टम प्रदर्शन की निगरानी करने और समायोजन करने के लिए फीडबैक सेंसर का भी उपयोग करते हैं।यह फीडबैक लूप लोड अलग -अलग होने पर भी लगातार गति बनाए रखने में मदद करता है।स्पीड कंट्रोल पुराने सिस्टम में बुनियादी प्रतिरोधों से लेकर माइक्रोप्रोसेसरों और परिष्कृत एल्गोरिदम का उपयोग करके उन्नत डिजिटल नियंत्रकों तक होता है।ये नए तरीके मोटर्स को बदलती परिस्थितियों में सुचारू रूप से और सटीक रूप से प्रतिक्रिया देने की अनुमति देते हैं।
एसी मोटर की गति दो चीजों पर निर्भर करती है: एसी पावर की आवृत्ति और मोटर में ध्रुवों की संख्या।गति बदलने के लिए, हम आवृत्ति को बदलते हैं।यह वह जगह है जहां चर आवृत्ति ड्राइव (VFD) आते हैं। एक VFD निश्चित-आवृत्ति एसी पावर को डीसी में परिवर्तित करता है, इसे चिकना करता है, और फिर इसे वांछित आवृत्ति पर वापस एसी में परिवर्तित करता है।इससे मोटर की गति को सटीकता के साथ समायोजित किया जाता है।आवृत्ति और वोल्टेज दोनों को नियंत्रित करके, VFDs मोटर टॉर्क का प्रबंधन कर सकते हैं और अधिक कुशलता से गति कर सकते हैं।

चित्रा 2। एक एसी मोटर गति नियंत्रण प्रणाली का ब्लॉक आरेख
आधुनिक चर आवृत्ति ड्राइव (VFDs) वेक्टर नियंत्रण जैसी उन्नत नियंत्रण तकनीकों को शामिल करके केवल मोटर गति को समायोजित करने से परे जाते हैं, जो ठीक-ट्यून प्रदर्शन के लिए टोक़ और प्रवाह को अलग करता है, और प्रत्यक्ष टोक़ नियंत्रण (DTC), जो तेज और सटीक टॉर्क समायोजन प्रदान करता है।ये क्षमताएं मोटरों को अतिरिक्त यांत्रिक घटकों या अतिरिक्त तनाव की आवश्यकता के बिना कुशलता से लोड को तेज करने, डिकेलरेट करने और बनाए रखने में सक्षम बनाती हैं।सॉफ्ट-स्टार्ट फ़ंक्शंस, बिल्ट-इन ओवरलोड प्रोटेक्शन, और एडवांस्ड डायग्नोस्टिक्स जैसी सुविधाओं ने वाटर ट्रीटमेंट प्लांट्स से लेकर एलेवेटर सिस्टम तक, अनुप्रयोगों की एक विस्तृत श्रृंखला में वीएफडी को महत्वपूर्ण बना दिया है।
डीसी मोटर्स को अक्सर चुना जाता है जब त्वरित, सटीक गति परिवर्तन आवश्यक होते हैं।आर्मेचर पर लागू वोल्टेज के साथ उनकी गति सीधे बदल जाती है।लोड भी गति को प्रभावित करता है, बढ़ा हुआ लोड आमतौर पर मोटर को धीमा कर देता है।आज सबसे कुशल विधि पीडब्लूएम है।यह मोटर को वितरित औसत वोल्टेज को नियंत्रित करने के लिए समायोज्य चौड़ाई के साथ उच्च-आवृत्ति वोल्टेज दालों का उपयोग करता है।यह कम बिजली हानि के साथ सटीक गति नियंत्रण की अनुमति देता है।

चित्रा 3। एक डीसी मोटर गति नियंत्रण प्रणाली का ब्लॉक आरेख
अन्य नियंत्रण विधियों में क्षेत्र नियंत्रण शामिल है, जहां चुंबकीय क्षेत्र में वर्तमान को समायोजित करने से मोटर गति बदल जाती है, क्षेत्र को कम करने से गति बढ़ जाती है लेकिन टॉर्क कम हो जाता है;आर्मेचर प्रतिरोध नियंत्रण, एक सरल लेकिन अक्षम विधि जो वोल्टेज और गति को कम करने के लिए प्रतिरोध जोड़ता है;और बंद-लूप नियंत्रण, जो गति की निगरानी के लिए सेंसर का उपयोग करता है और अलग-अलग भार के तहत लगातार प्रदर्शन को बनाए रखने के लिए स्वचालित रूप से वोल्टेज या वर्तमान को समायोजित करता है।उनकी उच्च परिशुद्धता और जवाबदेही के कारण, डीसी मोटर्स का उपयोग आमतौर पर रोबोटिक्स, चिकित्सा उपकरण और बैटरी-संचालित उपकरणों में किया जाता है।
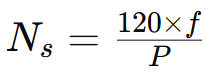
एसी मोटर स्पीड कंट्रोल तकनीक सिंक्रोनस स्पीड के सूत्र पर आधारित हैं:

कहाँ:
• एनएस सिंक्रोनस स्पीड (आरपीएम में) है
• एफ एसी आपूर्ति की आवृत्ति है (हर्ट्ज में)
• पी मोटर के डंडे की संख्या है
आपूर्ति आवृत्ति को अलग करके, मोटर की गति को समायोजित किया जा सकता है, जो चर आवृत्ति ड्राइव (VFDs) का उपयोग करके प्राप्त किया जाता है।वीएफडी नियंत्रण के दो मुख्य प्रकार हैं: स्केलर (वी/एफ) नियंत्रण, जो एक निरंतर वोल्टेज-टू-फ़्रीक्वेंसी अनुपात को बनाए रखता है और बुनियादी अनुप्रयोगों के लिए सरल और स्थिर है;और वेक्टर नियंत्रण, जो अधिक सटीक और उत्तरदायी नियंत्रण के लिए अनुमति देने के लिए टोक़ और चुंबकीय प्रवाह घटकों को अलग करता है, विशेष रूप से कम गति पर।अधिक उन्नत प्रणालियां सेंसरलेस नियंत्रण को शामिल करती हैं, भौतिक सेंसर की आवश्यकता के बिना मोटर की स्थिति का आकलन करती हैं।इसके अतिरिक्त, VFDs नियंत्रित त्वरण (रैंपिंग), टॉर्क लिमिटिंग और ब्रेकिंग जैसे कार्यों का समर्थन करते हैं, जिससे वे लिफ्ट, क्रेन और सीएनसी मशीनों जैसे अनुप्रयोगों की मांग के लिए अत्यधिक उपयुक्त हैं।
डीसी मोटर की गति रिश्ते द्वारा शासित होती है,

कहाँ:
• वी आर्मेचर वोल्टेज है
• IA आर्मेचर करंट है
• आरए आर्मेचर रेजिस्टेंस है
• is चुंबकीय प्रवाह है
विभिन्न स्पीड कंट्रोल तकनीकों में, पल्स चौड़ाई मॉड्यूलेशन (पीडब्लूएम) इसकी दक्षता और जवाबदेही के कारण सबसे प्रभावी बनी हुई है।अन्य तरीकों में फ्लक्स कमजोर होना शामिल है, जो उन स्थितियों में उपयुक्त चुंबकीय क्षेत्र की ताकत को कम करके गति को बढ़ाता है जहां लोअर टॉर्क स्वीकार्य है;आर्मेचर प्रतिरोध नियंत्रण, जो ऊर्जा हानि के कारण सरल लेकिन कम कुशल है;और प्रतिक्रिया के साथ बंद-लूप नियंत्रण, जो सटीक और अनुकूली गति विनियमन प्रदान करने के लिए एनकोडर या टैचोजेनरेटर जैसे सेंसर का उपयोग करता है।
वोल्टेज नियंत्रण: यह विधि स्टेटर वाइंडिंग पर लागू आपूर्ति वोल्टेज को कम करके मोटर को धीमा कर देती है।जैसे -जैसे वोल्टेज गिरता है, चुंबकीय क्षेत्र की ताकत कम हो जाती है, जिसके परिणामस्वरूप कम टोक़ और गति होती है।जबकि इस पद्धति की सादगी बुनियादी अनुप्रयोगों के लिए इसे आकर्षक बनाती है, विशेष रूप से प्रशंसक या पंप भार के साथ, यह आम तौर पर अक्षम है क्योंकि मोटर कम गति से भी उच्च धारा को आकर्षित करना जारी रखती है, जिससे गर्मी और ऊर्जा हानि बढ़ जाती है।यह प्रकाश-शुल्क संचालन के लिए आरक्षित है जहां सटीक नियंत्रण की आवश्यकता नहीं है।
आवृत्ति नियंत्रण: चर आवृत्ति ड्राइव (VFD) मोटर को आपूर्ति की गई वोल्टेज और आवृत्ति दोनों को समायोजित करते हैं, जिससे गति और टोक़ के सटीक और कुशल नियंत्रण की अनुमति मिलती है।एक निरंतर वोल्ट-प्रति-हर्ट्ज अनुपात को बनाए रखने से, वीएफडी एक विस्तृत गति सीमा में मोटर के चुंबकीय संतुलन और टॉर्क विशेषताओं को संरक्षित करते हैं।इस विधि का व्यापक रूप से आधुनिक औद्योगिक और वाणिज्यिक अनुप्रयोगों में उपयोग किया जाता है, इसकी ऊर्जा दक्षता, अनुकूलनशीलता और अलग -अलग लोड स्थितियों को आसानी से संभालने की क्षमता के कारण।
पोल बदलना: कुछ गिलहरी केज इंडक्शन मोटर्स को स्टेटर वाइंडिंग के साथ डिज़ाइन किया गया है, जिन्हें चुंबकीय ध्रुवों की संख्या को बदलने के लिए पुन: कॉन्फ़िगर किया जा सकता है।पोल काउंट को बदलकर, मोटर की सिंक्रोनस गति असतत चरणों में बदलती है (जैसे, 2-पोल से 4-पोल ऑपरेशन), मोटर को अलग-अलग निश्चित गति से चलने की अनुमति देता है।यह विधि बाहरी इलेक्ट्रॉनिक्स की आवश्यकता के बिना बहु-गति नियंत्रण प्राप्त करने के लिए एक सरल और मजबूत तरीका प्रदान करती है, हालांकि यह पूर्वनिर्धारित गति सेटिंग्स तक सीमित है और इसमें चिकनी परिवर्तनशीलता का अभाव है।
बाह्य रोटर प्रतिरोध : इस तकनीक में स्लिप रिंग्स और ब्रश के माध्यम से रोटर सर्किट में चर प्रतिरोधों को जोड़ना शामिल है।रोटर प्रतिरोध को बढ़ाकर, स्लिप बढ़ जाती है, जो रोटर की गति को कम करती है और बेहतर टोक़ नियंत्रण प्रदान करती है, स्टार्टअप के दौरान या उन लोड के लिए उपयोगी होती है जिन्हें चर टोक़ की आवश्यकता होती है।हालांकि, विद्युत ऊर्जा के एक हिस्से को बाहरी प्रतिरोधों में गर्मी के रूप में विघटित किया जाता है, जिससे निरंतर उपयोग के लिए विधि अक्षम हो जाती है।
कैस्केड नियंत्रण: इस सेटअप में, दो मोटर्स को यंत्रवत् युग्मित किया जाता है, और एक मोटर (माध्यमिक या सहायक मोटर) विद्युत रूप से मुख्य (प्राथमिक) मोटर के रोटर सर्किट से जुड़ा होता है।यह व्यवस्था विद्युत और यांत्रिक लिंक के डिजाइन के आधार पर, निश्चित चरणों में बिजली साझा करने और गति नियंत्रण की अनुमति देती है।हालांकि आधुनिक प्रणालियों में अपेक्षाकृत जटिल और कम आम है, कैस्केड नियंत्रण विरासत औद्योगिक मशीनरी में बड़े भार और मध्यवर्ती गति का प्रबंधन करने का एक प्रभावी तरीका था।
ईएमएफ इंजेक्शन: इलेक्ट्रोमोटिव फोर्स (ईएमएफ) इंजेक्शन, क्रेमर और शेरबियस ड्राइव जैसी प्रणालियों में उपयोग किया जाता है, इसमें रोटर सर्किट में विशिष्ट आवृत्ति और चरण के नियंत्रित वोल्टेज को इंजेक्ट करना शामिल है।यह रोटर की पर्ची आवृत्ति को बदलता है और प्रतिरोध विधियों की तुलना में बेहतर दक्षता के साथ चर-गति संचालन की अनुमति देता है।ये ड्राइव उच्च-शक्ति अनुप्रयोगों के लिए अच्छी तरह से अनुकूल हैं जहां सटीक गति विनियमन और ऊर्जा वसूली महत्वपूर्ण हैं, जैसे कि बड़े कंप्रेशर्स, पंप या मिलों में।
क्षेत्र नियंत्रण: इस विधि में एक डीसी शंट मोटर के क्षेत्र घुमावदार के साथ श्रृंखला में एक चर रोकनेवाला सम्मिलित करना शामिल है।प्रतिरोध बढ़ने से, क्षेत्र घुमावदार के माध्यम से वर्तमान कम हो जाता है, जो चुंबकीय प्रवाह को कमजोर करता है।एक डीसी मोटर के गति समीकरण के अनुसार, प्रवाह में कमी से गति में वृद्धि होती है, जो निरंतर आर्मेचर वोल्टेज को मानती है।रेटेड मान से ऊपर की गति बढ़ाने के लिए फ़ील्ड नियंत्रण अपेक्षाकृत कुशल है।हालांकि, चूंकि क्षेत्र को कमजोर करने से टोक़ भी कम हो जाता है और यह अस्थिरता या ओवरस्पीडिंग का कारण बन सकता है, इस विधि को देखभाल के साथ लागू किया जाना चाहिए और अक्सर सुरक्षात्मक उपायों की आवश्यकता होती है।
आर्मेचर वोल्टेज नियंत्रण: इस पद्धति में, आर्मेचर को आपूर्ति की गई वोल्टेज सीधे क्षेत्र के प्रवाह को स्थिर रखते हुए विविध है।आर्मेचर वोल्टेज को कम करने से गति और टॉर्क आनुपातिक रूप से कम हो जाता है।यह तकनीक लागू करने के लिए सीधी है और रेटेड गति के नीचे चिकनी नियंत्रण की अनुमति देती है।हालांकि, यह कम ऊर्जा कुशल है, विशेष रूप से लोड के तहत, क्योंकि किसी भी अतिरिक्त ऊर्जा को अक्सर नियंत्रण प्रतिरोधों या बिजली इलेक्ट्रॉनिक्स में गर्मी के रूप में विघटित किया जाता है।
वार्ड-लियोनार्ड तंत्र: यह क्लासिक कंट्रोल सिस्टम एक मोटर-जनरेटर (एम-जी) सेट का उपयोग करता है, जहां एक एसी या डीसी मोटर द्वारा संचालित डीसी जनरेटर के आउटपुट को नियंत्रित करके एक चर वोल्टेज का उत्पादन किया जाता है।उत्पन्न वोल्टेज को शंट मोटर के आर्मेचर को खिलाया जाता है, जिससे दोनों दिशाओं में एक विस्तृत गति सीमा पर ठीक और निरंतर नियंत्रण की अनुमति मिलती है।हालांकि महंगा और भारी, वार्ड-लियोनार्ड सिस्टम टॉर्क नियंत्रण और गति विनियमन के मामले में उत्कृष्ट प्रदर्शन प्रदान करता है, जिससे यह लिफ्ट होइस्ट, रोलिंग मिल्स और प्रिंटिंग प्रेस जैसे अनुप्रयोगों की मांग के लिए आदर्श है।
फील्ड डायवर्टर: एक रोकनेवाला (डायवर्टर) श्रृंखला क्षेत्र घुमावदार के साथ समानांतर में जुड़ा हुआ है।यह वर्तमान के एक हिस्से को क्षेत्र के घुमावदार को बायपास करने, चुंबकीय प्रवाह को कमजोर करने और मोटर की गति को बढ़ाने की अनुमति देता है।यह विधि गति नियंत्रण का एक बुनियादी रूप प्रदान करती है, और कर्षण जैसे अनुप्रयोगों में उपयोगी है जहां अस्थायी गति को बढ़ावा देने की आवश्यकता होती है।हालांकि, यह टोक़ को कम करता है और अस्थिरता या मोटर ओवरहीटिंग को रोकने के लिए सावधानी से संतुलित होना चाहिए।
आर्मेचर डायवर्टर : आर्मेचर सर्किट के साथ समानांतर में एक अवरोधक रखकर, आर्मेचर और फ़ील्ड के बीच वर्तमान वितरण को संशोधित किया जा सकता है।यह समायोजन मोटर की टॉर्क-स्पीड विशेषता को बदलता है।यह फील्ड डायवर्टर्स की तुलना में अधिक बारीक तरीका है, जो टॉर्क पर बेहतर नियंत्रण की अनुमति देता है, लेकिन यह जटिलता का परिचय देता है और प्रदर्शन के नुकसान या क्षति से बचने के लिए सावधानीपूर्वक ट्यूनिंग की आवश्यकता होती है।
टैप किया गया क्षेत्र और फिर से समूह: यह विधि क्षेत्र घुमावदार में सक्रिय मोड़ की संख्या को बदलकर चुंबकीय क्षेत्र की शक्ति को संशोधित करती है।कनेक्शन (री-ग्रुपिंग) को घुमावदार या पुनर्व्यवस्थित करने पर नल का उपयोग करके, स्पीड-टॉर्क वक्र को शिफ्ट करने के लिए विभिन्न चुंबकीय कॉन्फ़िगरेशन का चयन किया जा सकता है।यह फिक्स्ड-स्पीड चरण प्रदान करता है और आमतौर पर उन उपकरणों में उपयोग किया जाता है जहां गति में अनुमानित परिवर्तन पर्याप्त होते हैं, जैसे कि क्रेन या लहरा।
प्रतिरोधक नियंत्रण: एक मूल विधि जहां बाहरी प्रतिरोधों को वोल्टेज को छोड़ने और गति को कम करने के लिए मोटर के साथ श्रृंखला में जोड़ा जाता है।जबकि सरल और सस्ती, यह विधि अत्यधिक अक्षम है क्योंकि बिजली की अधिकांश ऊर्जा गर्मी के रूप में खो जाती है।यह आम तौर पर केवल कम लागत या पुरानी प्रणालियों में उपयोग किया जाता है जहां दक्षता एक प्राथमिक चिंता नहीं है।
श्रृंखला-समानांतर नियंत्रण: इस तकनीक में, दो या अधिक श्रृंखला मोटर्स या तो श्रृंखला में या समानांतर में जुड़े हुए हैं।श्रृंखला में, वे एक ही वर्तमान साझा करते हैं और उच्च टोक़ के साथ कम गति पर काम करते हैं;समानांतर में, वे कम टोक़ के साथ उच्च गति पर काम करते हैं।यह नियंत्रण विधि गति में कदम परिवर्तन की अनुमति देती है और आमतौर पर इलेक्ट्रिक ट्रैक्शन सिस्टम जैसे ट्राम और ट्रेनों में पाई जाती है, जहां सरल और विश्वसनीय गति नियंत्रण की आवश्यकता होती है।
उद्योग
औद्योगिक सेटिंग्स में, एसी मोटर स्पीड कंट्रोल कन्वेयर, मिक्सर, पंप और अन्य मैकेनिकल सिस्टम से जुड़ी प्रक्रियाओं को अनुकूलित करने में एक भूमिका निभाता है।वैरिएबल फ़्रीक्वेंसी ड्राइव (VFD) जैसे उपकरणों का उपयोग करके मोटर गति को सटीक रूप से विनियमित करके, संचालन को विशिष्ट उत्पादन आवश्यकताओं के लिए ट्यून किया जा सकता है, जिससे बेहतर प्रक्रिया सटीकता, कम यांत्रिक तनाव और ऊर्जा बचत में सुधार होता है।उदाहरण के लिए, उत्पाद निरीक्षण के दौरान एक कन्वेयर बेल्ट को धीमा करना या धीरे -धीरे मिक्सर को रैंप करने से पहनने और सुरक्षा को बढ़ाता है।यह लचीलापन समग्र दक्षता को बढ़ाता है और मशीनरी के जीवनकाल का विस्तार करता है।
एचवीएसी
हीटिंग, वेंटिलेशन, और एयर कंडीशनिंग (एचवीएसी) सिस्टम प्रशंसकों, ब्लोअर और कंप्रेशर्स में गति-नियंत्रित मोटर्स से बहुत लाभान्वित होते हैं।पर्यावरणीय स्थितियों और सिस्टम की मांगों के जवाब में मोटर की गति को समायोजित करके, ऊर्जा की खपत कम हो जाती है, विशेष रूप से चर लोड स्थितियों जैसे कि तापमान में उतार -चढ़ाव या अधिभोग परिवर्तन।VFDs एयरफ्लो और प्रशीतन चक्रों के नरम शुरुआत और ठीक-ठीक ट्यून मॉड्यूलेशन के लिए अनुमति देते हैं, जिससे आवासीय और वाणिज्यिक दोनों इमारतों में शांत संचालन, बढ़ाया आराम और कम परिचालन लागत होती है।
गृह उपकरण
वाशिंग मशीन, रेफ्रिजरेटर और डिशवॉशर जैसे आधुनिक घरेलू उपकरण प्रदर्शन और ऊर्जा दक्षता में सुधार के लिए तेजी से नियंत्रित एसी मोटर्स का उपयोग करते हैं।उदाहरण के लिए, वाशिंग मशीन में वैरिएबल-स्पीड मोटर्स अनुकूलित आंदोलन और स्पिन गति के साथ विभिन्न वाशिंग चक्रों को सक्षम करते हैं, शोर और कंपन को कम करते हैं।रेफ्रिजरेटर में, स्पीड कंट्रोल के साथ कंप्रेशर्स कम ऊर्जा उपयोग के साथ लगातार तापमान बनाए रखते हुए, कूलिंग साइकिल को अधिक सुचारू रूप से समायोजित कर सकते हैं।
स्मार्ट इंफ्रास्ट्रक्चर
स्मार्ट इमारतों और परिवहन प्रणालियों में, एसी मोटर स्पीड कंट्रोल लिफ्ट, एस्केलेटर, मूविंग वॉकवे और स्वचालित दरवाजों के प्रबंधन के लिए अभिन्न है।ये सिस्टम अक्सर बुद्धिमान मोटर नियंत्रकों का उपयोग करते हैं जो नियंत्रण, निदान और ऊर्जा निगरानी प्रदान करने के लिए बिल्डिंग मैनेजमेंट सिस्टम (BMS) या IoT नेटवर्क के साथ इंटरफ़ेस करते हैं।उदाहरण के लिए, लिफ्ट यात्री लोड या फर्श की मांग के आधार पर त्वरण और मंदी प्रोफाइल को समायोजित कर सकती है, सवारी आराम और ऊर्जा उपयोग में सुधार कर सकती है।एस्केलेटर उपयोग में नहीं होने पर धीमा या विराम दे सकते हैं, निष्क्रिय बिजली की खपत को कम कर सकते हैं और आधुनिक बुनियादी ढांचे के डिजाइन में स्थिरता लक्ष्यों के साथ संरेखित कर सकते हैं।
रोबोटिक
डीसी मोटर्स का व्यापक रूप से रोबोटिक्स में व्यापक रूप से उपयोग किया जाता है क्योंकि उनकी तेजी से प्रतिक्रिया और सटीक गति और स्थिति नियंत्रण प्रदान करने की उनकी क्षमता होती है।पल्स-चौड़ाई मॉड्यूलेशन (पीडब्लूएम) और एन्कोडर्स जैसे फीडबैक सिस्टम की मदद से, रोबोटिक सिस्टम ऑब्जेक्ट हेरफेर, नेविगेशन और समन्वय जैसे कार्यों के लिए आवश्यक बारीक-दाने वाले आंदोलन को प्राप्त कर सकते हैं।यह जवाबदेही औद्योगिक रोबोटिक हथियारों से लेकर स्वायत्त मोबाइल रोबोट तक के अनुप्रयोगों में महत्वपूर्ण है।
इलेक्ट्रिक वाहन
इलेक्ट्रिक वाहनों (ईवीएस) में, डीसी मोटर स्पीड कंट्रोल सुचारू त्वरण, मंदी और समग्र ड्राइव प्रदर्शन के लिए अच्छा है।मोटर को आपूर्ति की गई वोल्टेज और वर्तमान को समायोजित करके, वाहन विभिन्न गति और टोक़ के स्तर के बीच मूल रूप से संक्रमण कर सकते हैं, ड्राइविंग आराम और नियंत्रण को बढ़ा सकते हैं।पुनर्योजी ब्रेकिंग सिस्टम ब्रेकिंग के दौरान गतिज ऊर्जा को विद्युत ऊर्जा में वापस बदलने, समग्र दक्षता में सुधार और बैटरी जीवन का विस्तार करने के लिए नियंत्रित डीसी मोटर ऑपरेशन का उपयोग करते हैं।ये विशेषताएं डीसी मोटर्स को दो-पहिया और चार-पहिया इलेक्ट्रिक ट्रांसपोर्ट सिस्टम दोनों के लिए आदर्श बनाती हैं।
उपभोक्ता उपकरण
डीसी मोटर्स कई कॉम्पैक्ट और पोर्टेबल उपभोक्ता उपकरणों के केंद्र में हैं, जिनमें बिजली उपकरण, हेयर ड्रायर, कंप्यूटर कूलिंग प्रशंसक और छोटे रसोई उपकरण शामिल हैं।इन अनुप्रयोगों में गति नियंत्रण इष्टतम प्रदर्शन, सुरक्षा और ऊर्जा दक्षता सुनिश्चित करता है।उदाहरण के लिए, पावर ड्रिल में, वैरिएबल-स्पीड ट्रिगर विभिन्न सामग्रियों के लिए टोक़ और गति को समायोजित करने की अनुमति देता है, जबकि प्रशंसकों में, गति भिन्नता बेहतर आराम और शोर नियंत्रण प्रदान करती है।कॉम्पैक्ट डिजाइन और इलेक्ट्रॉनिक नियंत्रण में आसानी डीसी मोटर्स को बैटरी-संचालित उपकरणों के लिए उपयुक्त बनाती है।
चिकित्सा और प्रयोगशाला उपकरण
चिकित्सा और प्रयोगशाला उपकरणों को अत्यधिक नियंत्रित, शांत और विश्वसनीय मोटर संचालन की आवश्यकता होती है।सटीक गति नियंत्रण वाले डीसी मोटर्स का उपयोग इन्फ्यूजन पंप, सेंट्रीफ्यूज, सर्जिकल टूल और स्वचालित एनालाइज़र जैसे उपकरणों में किया जाता है।ये अनुप्रयोग संवेदनशील वातावरण को परेशान करने से बचने के लिए मूक संचालन की मांग करते हैं, साथ ही सटीक वितरण या तरल पदार्थ, नमूनों या सर्जिकल आंदोलनों के माप के लिए सटीक गति नियंत्रण के साथ।ब्रशलेस डीसी मोटर्स (BLDCs) उनके कम शोर, कम रखरखाव और लगातार प्रदर्शन के लिए इष्ट हैं।
|
विशेषता |
एसी मोटर |
डीसी यंत्र |
|
शक्ति का स्रोत |
वैकल्पिक वर्तमान (एसी) का उपयोग करता है |
प्रत्यक्ष वर्तमान (डीसी) का उपयोग करता है |
|
गति कैसे नियंत्रित होती है |
एक चर के साथ आवृत्ति को समायोजित करके गति परिवर्तन
आवृत्ति ड्राइव |
वोल्टेज या फ़ील्ड करंट को समायोजित करके गति परिवर्तन |
|
नियंत्रण जटिलता |
अधिक जटिल: कभी -कभी वीएफडी, वेक्टर नियंत्रण की आवश्यकता है
सेंसर |
सरल: वोल्टेज परिवर्तन, पीडब्लूएम, या क्षेत्र नियंत्रण का उपयोग करता है |
|
प्रतिक्रिया समय |
वीएफडी देरी के कारण धीमी प्रतिक्रिया |
त्वरित प्रतिक्रिया, विशेष रूप से डिजिटल नियंत्रण के साथ |
|
शुरुआती टोक़ |
विशेष नियंत्रण विधियों के बिना कम |
डिफ़ॉल्ट रूप से उच्च शुरुआती टोक़ |
|
अलग -अलग गति से टोक़ |
टोक़ कम गति से गिर सकता है |
सभी गति से मजबूत टोक़ बनाए रखता है |
|
गति स्थिरता |
बंद लूप सिस्टम के साथ अच्छा;बिना कम स्थिर |
सभी गति में उत्कृष्ट नियंत्रण और स्थिरता |
|
गति सीमा |
ड्राइव और मोटर डिजाइन द्वारा सीमित |
बहुत कम से लेकर उच्च गति तक विस्तृत रेंज |
|
रखरखाव की जरूरत है |
कम: कोई ब्रश या कम्यूटेटर नहीं |
उच्चतर: ब्रश बाहर पहनते हैं जब तक कि ब्रशलेस |
|
कठोर वातावरण में स्थायित्व |
अधिक बीहड़ और कठिन परिस्थितियों के लिए बेहतर |
ब्रश मोटर्स मोटे वातावरण में कम टिकाऊ होते हैं |
|
गर्मी से निपटने के लिए |
अक्सर कूलिंग सिस्टम के साथ बनाया गया |
ठीक से ठंडा नहीं होने पर ओवरहीट कर सकते हैं |
|
शोर और हस्तक्षेप (ईएमआई) |
विद्युत शोर (ईएमआई) का उत्पादन कर सकते हैं;फ़िल्टरिंग की जरूरत है |
ब्रश किए गए मोटर्स शोर करते हैं;ब्रशलेस शांत हैं |
|
बिजली की आपूर्ति की जरूरत है |
एसी मेन के साथ सीधे काम करता है (जैसे, 120V या 240V) |
एसी से डीसी आपूर्ति या कनवर्टर की आवश्यकता है |
|
उलटने की दिशा |
VFD में प्रोग्रामिंग की आवश्यकता है |
आसान: बस रिवर्स पोलरिटी या एच-ब्रिज का उपयोग करें |
|
पुनर्योजी ब्रेक लगाना |
स्थापित करने के लिए जटिल और महंगा |
ईवीएस और रोबोटिक्स में उपयोग किया जाने वाला आसान और कुशल |
|
ऊर्जा वसूली |
उन्नत VFDs के साथ संभव है |
स्वाभाविक रूप से ऊर्जा वसूली का समर्थन करता है |
|
अंकीय नियंत्रण एकीकरण |
VFD के माध्यम से PLCs जैसे सिस्टम से जुड़ता है |
आसानी से माइक्रोकंट्रोलर्स द्वारा नियंत्रित किया जाता है |
|
क्षमता
|
स्थिर गति पर बहुत कुशल |
चर गति या लगातार के साथ बहुत कुशल
शुरू/बंद हो जाता है |
|
नियंत्रण प्रणाली का आकार |
VFDs बड़े हो सकते हैं और शीतलन की आवश्यकता है |
डीसी नियंत्रक छोटे और स्थापित करने में आसान हैं |
आज की मशीनों और उपकरणों में मोटर की गति को नियंत्रित करना बहुत महत्वपूर्ण है।यह ऊर्जा को बचाने में मदद करता है, मशीनों को लंबे समय तक रहता है, और उन्हें सुचारू रूप से चलाता रहता है।एसी मोटर्स अक्सर बिजली की आवृत्ति को समायोजित करके गति को बदलने के लिए वीएफडी का उपयोग करते हैं।डीसी मोटर्स वोल्टेज को समायोजित करके या फास्ट ऑन-ऑफ सिग्नल (पीडब्लूएम) का उपयोग करके गति बदलते हैं।इन विधियों ने मशीनों को अपने काम को बेहतर बनाने दिया, चाहे वह एक बड़ी फैक्ट्री मशीन, एक एयर कंडीशनर, या रोबोट आर्म हो।एसी मोटर्स भारी नौकरियों और लंबे समय तक चलने वाले उपयोग के लिए महान हैं, जबकि त्वरित और सटीक आंदोलन की आवश्यकता होने पर डीसी मोटर्स बेहतर हैं।सही गति नियंत्रण विधि का उपयोग करके, हम सुनिश्चित करते हैं कि मशीनें सुरक्षित रूप से, कुशलता से काम करती हैं, और वास्तव में हमें उनकी आवश्यकता कैसे है।
कृपया एक जांच भेजें, हम तुरंत जवाब देंगे।
पावर टाइप (एसी या डीसी) की तुलना में मोटर डिजाइन पर अधिक निर्भर करता है।हालांकि, एक ही आकार और वोल्टेज रेटिंग के लिए, एसी मोटर्स अधिक शक्तिशाली हैं क्योंकि वे उच्च भार को संभाल सकते हैं और निरंतर, भारी शुल्क के उपयोग के लिए बनाए जाते हैं।तीन-चरण इंडक्शन मोटर्स जैसे औद्योगिक एसी मोटर्स कारखानों में आम हैं क्योंकि वे बड़ी मशीनों को मज़बूती से चला सकते हैं।दूसरी ओर, डीसी मोटर्स अधिक सटीक गति और टोक़ नियंत्रण प्रदान करते हैं, लेकिन वे आमतौर पर रोबोटिक्स जैसे छोटे, अधिक विशेष अनुप्रयोगों में उपयोग किए जाते हैं, जहां कच्ची शक्ति की तुलना में ठीक ट्यून किया गया आंदोलन अधिक महत्वपूर्ण है।
डीसी मोटर्स आमतौर पर एसी मोटर्स, विशेष रूप से छोटे स्थायी चुंबक या ब्रशलेस डीसी मोटर्स की तुलना में उच्च आरपीएम (प्रति मिनट क्रांतियों) को प्राप्त करते हैं।ऐसा इसलिए है क्योंकि डीसी मोटर्स पावर लाइन आवृत्ति पर भरोसा नहीं करते हैं और वोल्टेज को बढ़ाकर तेजी से स्पिन कर सकते हैं।हालांकि, एसी मोटर की गति इनपुट आवृत्ति और ध्रुवों की संख्या से जुड़ी होती है, इसलिए यह अधिक सीमित है जब तक कि उन्नत वीएफडी का उपयोग नहीं किया जाता है।डीसी मोटर्स का उपयोग अक्सर किया जाता है जहां उच्च गति के प्रदर्शन की आवश्यकता होती है, जैसे कि बिजली उपकरण, ड्रोन या चिकित्सा उपकरणों में।
हमेशा नहीं।एसी मोटर्स लंबे समय तक भारी-भरकम वातावरण में रहते हैं।ऐसा इसलिए है क्योंकि अधिकांश एसी मोटर्स, विशेष रूप से इंडक्शन प्रकार, कम चलती भागों और कोई ब्रश नहीं होते हैं, जिसका अर्थ है समय के साथ कम पहनना।ब्रश और कम्यूटेटर के बीच घर्षण के कारण ब्रश डीसी मोटर्स तेजी से पहनते हैं।हालांकि, ब्रशलेस डीसी मोटर्स (BLDCs) में एसी मोटर्स के समान एक लंबा जीवनकाल होता है और वे कम-शक्ति या सटीक उपकरणों में बहुत विश्वसनीय होते हैं।तो, यह डीसी मोटर के प्रकार पर निर्भर करता है और इसका उपयोग कैसे किया जाता है।
एसी मोटर्स को नियंत्रित करना कठिन हो सकता है क्योंकि उनकी गति को बदलने के लिए वीएफडी जैसे जटिल उपकरणों की आवश्यकता होती है।वे संकेतों को नियंत्रित करने के लिए जल्दी से जवाब नहीं देते हैं, जो उन्हें तेजी से गति परिवर्तन की आवश्यकता वाले कार्यों के लिए कम आदर्श बनाता है।डीसी मोटर्स, विशेष रूप से ब्रश वाले, ब्रश पहनने के कारण अधिक रखरखाव की आवश्यकता होती है।वे उच्च शक्ति के स्तर पर भी कम कुशल हो सकते हैं और गति नियंत्रण के लिए पीडब्लूएम सर्किट जैसे इलेक्ट्रॉनिक नियंत्रकों की आवश्यकता होती है।इसके अतिरिक्त, वे अक्सर बड़े भार के साथ -साथ एसी मोटर्स को भारी या ओवरहीटिंग के बिना संभाल नहीं सकते हैं।
एसी मोटर्स के लिए, वैरिएबल फ्रीक्वेंसी ड्राइव (वीएफडी) का उपयोग बिजली की आपूर्ति की आवृत्ति और वोल्टेज को समायोजित करके गति को बदलने के लिए किया जाता है।डीसी मोटर्स के लिए, पल्स चौड़ाई मॉड्यूलेशन (पीडब्लूएम) सबसे आम विधि है, जहां पावर डिलीवरी को नियंत्रित करने के लिए तेजी से स्विचिंग वोल्टेज को स्विच करके गति को समायोजित किया जाता है।दोनों ही मामलों में, मोटर की गति की निगरानी के लिए सेंसर का उपयोग करके बंद-लूप कंट्रोल सिस्टम को जोड़ा जा सकता है और इसे स्वचालित रूप से समायोजित किया जा सकता है, अलग-अलग लोड में सुसंगत और सटीक संचालन की पेशकश करता है।
2025/05/21 पर
2025/05/20 पर
8000/04/18 पर 147757
2000/04/18 पर 111935
1600/04/18 पर 111349
0400/04/18 पर 83719
1970/01/1 पर 79508
1970/01/1 पर 66901
1970/01/1 पर 63021
1970/01/1 पर 63010
1970/01/1 पर 54081
1970/01/1 पर 52121