
ए प्लग फ्लो रिएक्टर (पीएफआर), पिस्टन फ्लो रिएक्टर के रूप में भी जाना जाता है, केमिकल इंजीनियरिंग में एक महत्वपूर्ण उपकरण है जिसका उपयोग अध्ययन करने के लिए किया जाता है कि एक लंबी ट्यूब के अंदर रासायनिक प्रतिक्रियाएं कैसे होती हैं।इस प्रकार के रिएक्टर में, तरल पदार्थ को एक छोर पर पंप किया जाता है और एक निरंतर गति से ट्यूब के माध्यम से दूसरे छोर तक लगातार स्थानांतरित किया जाता है।प्रवाह चिकना है और यहां तक कि रास्ते में कोई घूमता या मिश्रण नहीं है।इसका मतलब यह है कि तरल पदार्थ अलग -अलग परतों या प्लग में यात्रा करते हैं, प्रतिक्रिया के विभिन्न चरणों को अलग रखते हुए।दूसरे शब्दों में, पहले ट्यूब में प्रवेश करने वाले तरल पदार्थ हमेशा उन तरल पदार्थों से आगे होते हैं जो बाद में प्रवेश करते हैं, और वे एक दूसरे के साथ मिश्रण नहीं करते हैं क्योंकि वे साथ चलते हैं।यह रासायनिक प्रतिक्रिया को नियंत्रित करने में मदद करता है क्योंकि अभिकारकों को क्रम में रखा जाता है, जिससे प्रतिक्रिया के प्रत्येक भाग को कदम से कदम होने की अनुमति मिलती है क्योंकि तरल पदार्थ ट्यूब के माध्यम से प्रवाहित होते हैं।
एक पीएफआर में तरल पदार्थ जाने वाले अनूठे तरीके से रासायनिक प्रतिक्रियाओं के लिए कुछ महत्वपूर्ण लाभ हैं।चूंकि कोई मिश्रण पिछड़ा नहीं होता है, द्रव की प्रत्येक परत रिएक्टर में समान मात्रा में समय बिताती है, जिससे एक सुसंगत प्रतिक्रिया प्रक्रिया होती है।इससे यह अनुमान लगाना आसान हो जाता है कि कितना उत्पाद बनाया जाएगा क्योंकि प्रतिक्रिया का समय तरल पदार्थ के हर हिस्से के लिए समान है।आप ट्यूब की लंबाई और चौड़ाई, प्रवाह की गति और प्रतिक्रिया को नियंत्रित करने के लिए तापमान को समायोजित कर सकते हैं और सर्वोत्तम परिणाम प्राप्त कर सकते हैं।प्लग फ्लो रिएक्टर उन प्रतिक्रियाओं के लिए विशेष रूप से उपयोगी होते हैं जिन्हें उच्च तापमान की आवश्यकता होती है या गैसों को शामिल किया जाता है क्योंकि स्थिर प्रवाह प्रतिक्रिया को नियंत्रण में रखता है।वे आमतौर पर तेल शोधन, प्लास्टिक बनाने और अपशिष्ट गैसों का इलाज जैसे उद्योगों में उपयोग किए जाते हैं।यह डिज़ाइन बड़े पैमाने पर उत्पादन के लिए भी अच्छा है क्योंकि रिएक्टर के अंदर क्या होता है, इसकी भविष्यवाणी करना और नियंत्रित करना आसान है।
प्लग फ्लो रिएक्टर (पीएफआर) को उनके यूनिडायरेक्शनल फ्लो की विशेषता है, जहां रिएक्टर और उत्पाद विशेष रूप से रिएक्टर की लंबाई के साथ आगे की दिशा में चलते हैं।यह सुव्यवस्थित प्रवाह पैटर्न रिएक्टर को एक ट्यूबलर नाली के रूप में डिजाइन करके प्राप्त किया जाता है, जो द्रव तत्वों के किसी भी बैक-मिक्सिंग को कम करता है।एक पीएफआर में, द्रव तत्व, जिन्हें अक्सर प्लग के रूप में संदर्भित किया जाता है, अपनी पहचान बनाए रखते हैं क्योंकि वे रिएक्टर के माध्यम से प्रगति करते हैं, जिसका अर्थ है कि आसन्न प्लग के बीच न्यूनतम प्रसार है।यह व्यवस्थित आंदोलन प्रतिक्रिया कैनेटीक्स पर सटीक नियंत्रण प्राप्त करने के लिए महत्वपूर्ण है क्योंकि प्रत्येक प्लग रिएक्टर के माध्यम से चलता है क्योंकि यह प्रतिक्रिया स्थितियों का एक अद्वितीय और अनुमानित सेट का अनुभव करता है।इनलेट में अभिकर्मक उच्चतम सांद्रता और ताजे रासायनिक वातावरण का सामना करते हैं, जिसे तेजी से प्रतिक्रिया दरों को चलाने के लिए रणनीतिक रूप से लाभ उठाया जा सकता है।

चित्रा 2. प्लग फ्लो रिएक्टर (पीएफआर) दिशात्मक प्रवाह प्रतिनिधित्व
जैसे -जैसे प्लग आगे बढ़ता है, रिएक्टर की लंबाई के साथ एक अनुक्रमिक रूपांतरण प्रक्रिया के बाद उत्पाद सांद्रता में वृद्धि होती है, प्रतिक्रियाशील सांद्रता कम हो जाती है।यह व्यवस्थित प्रगति सख्त स्टोइकोमेट्रिक नियंत्रण या एकाग्रता में उतार -चढ़ाव के प्रति संवेदनशील लोगों के लिए प्रतिक्रियाओं के लिए फायदेमंद है।पुनर्संरचना को रोककर और एक सुसंगत दिशात्मक प्रवाह को बनाए रखने से, PFRs साइड प्रतिक्रियाओं के जोखिम को कम करते हैं जो हो सकता है यदि अभिकारकों और उत्पादों को मिश्रण या रीसायकल करना था।यह PFRS को पोलीमराइजेशन, दहन या जटिल रासायनिक सिंथेस जैसी प्रक्रियाओं के लिए आदर्श बनाता है।अनुमानित प्रवाह पैटर्न प्रतिक्रिया मॉडलिंग और स्केल-अप की सटीकता को बढ़ाता है, जिससे पीएफआर अनुसंधान और औद्योगिक अनुप्रयोगों दोनों में अत्यधिक मूल्यवान है।
प्लग फ्लो रिएक्टरों की एक परिभाषित विशेषता रिएक्टर की लंबाई के साथ एक एकाग्रता ढाल का विकास है।इनलेट में, अभिकारकों को उनके उच्चतम सांद्रता में पेश किया जाता है, जिससे आगे बढ़ने के लिए प्रतिक्रिया के लिए एक प्रेरक शक्ति बनती है।जैसे -जैसे प्रतिक्रिया आगे बढ़ती है, प्रतिक्रियाशील सांद्रता लगातार कम हो जाती है, जबकि उत्पाद सांद्रता एक साथ बढ़ती है।यह एक अच्छी तरह से परिभाषित एकाग्रता ढाल में परिणाम है जो इनलेट से रिएक्टर के आउटलेट तक का अनुमान है।यह ढाल इनलेट के पास सबसे अधिक है, जहां अभिकारक सांद्रता उनके चरम पर है और अभिकारकों की प्रचुरता के कारण प्रतिक्रिया दर सबसे अधिक है।जैसा कि अभिकारकों का सेवन किया जाता है, ढाल धीरे -धीरे समतल हो जाती है, कम प्रतिक्रिया दर को दर्शाती है क्योंकि सिस्टम संतुलन के करीब पहुंचता है।
PFRS में बैक-मिक्सिंग की अनुपस्थिति यह सुनिश्चित करती है कि प्रत्येक प्लग एक अद्वितीय एकाग्रता वातावरण का अनुभव करता है, कुशल और अनुक्रमिक अभिकारक रूपांतरण को बढ़ावा देता है।एकाग्रता ढाल एकाग्रता-निर्भर कैनेटीक्स के साथ प्रतिक्रियाओं के लिए फायदेमंद है, जहां प्रतिक्रिया दर प्रतिक्रियाशील एकाग्रता का एक कार्य है।ऐसे मामलों में, इनलेट पर उच्च प्रतिक्रियाशील एकाग्रता प्रारंभिक प्रतिक्रिया दर को अधिकतम करती है, जिससे अभिकारकों के कुशल उपयोग के लिए अग्रणी होता है।अभिकारकों की यह प्रगतिशील खपत अवांछनीय पक्ष प्रतिक्रियाओं के जोखिम को कम करती है जो मध्यवर्ती सांद्रता में हो सकती है।प्रतिस्पर्धी प्रतिक्रियाओं से जुड़ी प्रक्रियाओं के लिए, एकाग्रता ढाल को वांछित उत्पाद मार्ग के पक्ष में करने के लिए प्रबंधित किया जा सकता है।यह पीएफआर को जटिल संश्लेषण प्रक्रियाओं के लिए अत्यधिक प्रभावी बनाता है, जैसे कि फार्मास्युटिकल या फाइन केमिकल्स उद्योग में, जहां उत्पाद चयनात्मकता और उपज अनुकूलन।
प्लग फ्लो रिएक्टरों के सबसे लाभों में से एक एक समान निवास समय वितरण है।एक पीएफआर में, अभिकारक का प्रत्येक प्लग रिएक्टर के माध्यम से यात्रा करने के लिए एक ही समय बिताता है, इनलेट से आउटलेट तक।यह समान निवास समय यह सुनिश्चित करता है कि सभी प्रतिक्रियाशील अणु समान प्रतिक्रिया स्थितियों के अधीन हैं, जिसमें तापमान, दबाव और एकाग्रता प्रोफाइल शामिल हैं।यह स्थिरता प्राप्त की जाती है क्योंकि प्लग रिएक्टर के माध्यम से एक व्यवस्थित, अनुक्रमिक फैशन में बिना किसी बैक-मिक्सिंग या रेडियल फैलाव के बिना चलते हैं।नतीजतन, रिएक्टर के अंदर खर्च करने वाले समय में कोई भिन्नता नहीं होती है, जो निरंतर हलचल-टैंक रिएक्टरों (CSTRS) के विपरीत है, जहां अभिकारकों के पास पूरी तरह से मिश्रण के कारण व्यापक रूप से निवास समय अलग हो सकता है।
एक समान निवास समय लगातार उत्पाद की गुणवत्ता को बनाए रखने के लिए अच्छा है, विशेष रूप से जटिल रासायनिक प्रक्रियाओं में।उदाहरण के लिए, पोलीमराइजेशन प्रतिक्रियाओं में, सुसंगत निवास समय एक समान बहुलक श्रृंखला की लंबाई और आणविक भार वितरण सुनिश्चित करता है, जिससे बेहतर उत्पाद प्रदर्शन होता है।दवा संश्लेषण में, यह नियामक अनुपालन और उत्पाद प्रभावकारिता के लिए लगातार रासायनिक शुद्धता और शक्ति की गारंटी देता है।पूर्वानुमानित निवास समय वितरण गतिज मॉडलिंग और स्केल-अप को सरल बनाता है, जो एक औद्योगिक पैमाने पर प्रतिक्रिया व्यवहार के सटीक सिमुलेशन को सक्षम करता है।यह भविष्यवाणी प्रक्रिया नियंत्रण और अनुकूलन को बढ़ाती है, जिससे उत्पादकता और लागत दक्षता में वृद्धि होती है।
प्लग फ्लो रिएक्टरों को प्रति यूनिट वॉल्यूम प्रति उच्च रूपांतरण दक्षता के लिए जाना जाता है, जो निरंतर हलचल-टैंक रिएक्टरों (CSTRS) से बेहतर है।PFRs में, अभिकर्मकों को लगातार उपभोग किया जाता है क्योंकि वे एक रैखिक और प्रगतिशील प्रतिक्रिया मार्ग के बाद रिएक्टर के माध्यम से चलते हैं।यह अनुक्रमिक खपत रिएक्टर की लंबाई के साथ किसी भी बिंदु पर अप्राप्य प्रजातियों की एकाग्रता को कम करती है, जिसके परिणामस्वरूप उच्च समग्र रूपांतरण दर होती है।बैक-मिक्सिंग की अनुपस्थिति से अभिकारकों को उनकी यात्रा के दौरान इष्टतम प्रतिक्रिया की स्थिति के संपर्क में आने की अनुमति मिलती है, प्रतिक्रिया दर को अधिकतम किया जाता है और अवांछित उप-उत्पादों के गठन को कम किया जाता है।यह तेजी से या अत्यधिक एक्सोथर्मिक प्रतिक्रियाओं के लिए फायदेमंद है जिन्हें सुरक्षा और उत्पाद अखंडता को बनाए रखने के लिए तेजी से प्रतिक्रियाशील कमी की आवश्यकता होती है।
ऐसे मामलों में, प्लग फ्लो डिज़ाइन स्थानीयकृत तापमान स्पाइक्स को रोककर प्रभावी गर्मी प्रबंधन की सुविधा प्रदान करता है जिससे थर्मल भगोड़ा या उत्पाद गिरावट हो सकती है।पीएफआर की उच्च रूपांतरण दक्षता आवश्यक रिएक्टर वॉल्यूम को कम करती है, जिससे छोटे उपकरण पैरों के निशान और कम पूंजीगत लागत होती है।यह दक्षता भी कम परिचालन खर्चों में तब्दील हो जाती है, क्योंकि वांछित उत्पाद उपज को प्राप्त करने के लिए कम ऊर्जा और कम कच्चे माल की आवश्यकता होती है।यह बड़े पैमाने पर औद्योगिक अनुप्रयोगों, जैसे कि पेट्रोकेमिकल प्रसंस्करण, थोक रासायनिक उत्पादन और पर्यावरण उपचार प्रणालियों के लिए PFR को आकर्षक बनाता है।
प्लग फ्लो रिएक्टर स्थिर-राज्य स्थितियों के तहत काम करते हैं, पूरे रिएक्टर में लगातार प्रवाह दर, एकाग्रता प्रोफाइल और तापमान वितरण को बनाए रखते हैं।स्थिर-राज्य संचालन में, प्रवाह और बहिर्वाह की दर स्थिर होती है, एक निरंतर और निर्बाध उत्पादन प्रक्रिया को सुनिश्चित करती है।यह स्थिरता समान उत्पाद की गुणवत्ता को बनाए रखने के लिए अच्छी है, जो कि पेट्रोकेमिकल रिफाइनिंग, बहुलक निर्माण और बड़े पैमाने पर रासायनिक संश्लेषण जैसे उद्योगों में महत्वपूर्ण है।PFRS की स्थिर-राज्य प्रकृति प्रक्रिया नियंत्रण और स्वचालन को सरल करती है क्योंकि सिस्टम के ऑपरेटिंग पैरामीटर समय के साथ स्थिर रहते हैं।
यह भविष्यवाणी स्केलेबिलिटी और प्रक्रिया विश्वसनीयता को बढ़ाती है, निगरानी की जटिलता को कम करती है और प्रतिक्रिया की स्थिति को समायोजित करती है।इसके अलावा, स्थिर-राज्य संचालन उत्पाद संरचना में उतार-चढ़ाव को कम करता है, जो फार्मास्यूटिकल्स और विशेष रसायनों जैसे उच्च-मूल्य वाले उत्पादों के लिए लगातार रासायनिक शुद्धता और गुणवत्ता सुनिश्चित करता है।स्थिर-राज्य संचालन भी ऊर्जा दक्षता और प्रक्रिया अनुकूलन की सुविधा प्रदान करता है, क्योंकि निरंतर संचालन की स्थिति थर्मल और द्रव्यमान हस्तांतरण प्रक्रियाओं के सटीक नियंत्रण के लिए अनुमति देती है।यह पीएफआर को प्रतिक्रिया कैनेटीक्स और उत्पाद चयनात्मकता पर तंग नियंत्रण की आवश्यकता वाले अनुप्रयोगों के लिए उपयुक्त बनाता है, रासायनिक विनिर्माण में लागत बचत और स्थिरता में योगदान देता है।
प्लग फ्लो रिएक्टरों को एक्सोथर्मिक या एंडोथर्मिक प्रतिक्रियाओं में कुशल गर्मी हस्तांतरण और तापमान का प्रबंधन करने के लिए डिज़ाइन किया गया है।सुसंगत प्रवाह पैटर्न बैक-मिक्सिंग को रोकता है, रिएक्टर की लंबाई के साथ सटीक तापमान नियंत्रण के लिए अनुमति देता है।यह थर्मल प्रबंधन को अनुकूलित करने के लिए नियंत्रित तापमान ग्रेडिएंट्स के कार्यान्वयन या हीट एक्सचेंजर्स के उपयोग में सक्षम बनाता है।प्रभावी गर्मी हस्तांतरण न केवल ऊर्जा दक्षता में सुधार करता है, बल्कि उत्पाद चयनात्मकता को भी बढ़ाता है, जिससे तापमान-संवेदनशील प्रतिक्रियाओं के लिए पीएफआर आदर्श बन जाता है, जैसे कि ठीक रासायनिक संश्लेषण या उत्प्रेरक प्रक्रियाओं में।अत्यधिक एक्सोथर्मिक प्रतिक्रियाओं में, पीएफआर गर्मी को प्रभावी ढंग से फैलाने में मदद करते हैं, थर्मल रनवे को रोकते हैं और सुरक्षित संचालन सुनिश्चित करते हैं।इसके विपरीत, एंडोथर्मिक प्रतिक्रियाओं में, वे प्रतिक्रिया दरों और रूपांतरण दक्षता को बनाए रखने के लिए कुशल गर्मी आपूर्ति की सुविधा प्रदान करते हैं।
पीएफआर बहुमुखी हैं और गैस-चरण, तरल-चरण और विषम प्रतिक्रियाओं को समायोजित कर सकते हैं, जिनमें उत्प्रेरक शामिल हैं।यह अनुकूलनशीलता उन्हें विभिन्न प्रकार की रासायनिक प्रक्रियाओं में उपयोग करने की अनुमति देती है, जैसे कि गैस-चरण ऑक्सीकरण, तरल-चरण पोलीमराइजेशन और उत्प्रेरक हाइड्रोजनीकरण।प्लग फ्लो डिज़ाइन, पेट्रोकेमिकल प्रोसेसिंग, पॉलीमर मैन्युफैक्चरिंग और एनवायरनमेंटल कैटेलिसिस में औद्योगिक अनुप्रयोगों के लिए प्रतिक्रिया दर और उत्प्रेरक दक्षता को बढ़ाता है, रिएक्टेंट-कैटलिस्ट संपर्क को अधिकतम करता है।
एक प्लग फ्लो रिएक्टर (पीएफआर) को रासायनिक प्रसंस्करण में कुशल और उपयोगी होने के लिए डिज़ाइन किया गया है।यह आमतौर पर एक लंबी, संकीर्ण ट्यूब या पाइप की तरह दिखता है, जो रसायनों को एक छोर से दूसरे छोर तक लगातार प्रवाहित करता है।ट्यूब के अंदर, स्टिरर्स की तरह कोई मिक्सिंग टूल नहीं हैं।इस वजह से, रसायन सुचारू रूप से, एक पिस्टन की तरह, बिना एक साथ मिश्रण किए।यह स्थिर प्रवाह प्रतिक्रियाओं को समान रूप से होने में मदद करता है और वे कितनी तेजी से होते हैं, इस पर अच्छे नियंत्रण की अनुमति देता है।यह रासायनिक कारखानों और उद्योगों में PFRS को बहुत उपयोगी बनाता है।

चित्रा 3. प्लग फ्लो रिएक्टर योजनाबद्ध
आरेख में एक प्लग फ्लो रिएक्टर (पीएफआर) को दर्शाया गया है, जो निरंतर रासायनिक रिएक्टर का एक प्रकार का रासायनिक रिएक्टर है जो निरंतर रासायनिक प्रसंस्करण के लिए डिज़ाइन किया गया है।इस सेटअप में, अभिकारक इनलेट (x = 0) में प्रवेश करते हैं और आउटलेट (x = l) की ओर एक बेलनाकार ट्यूब के माध्यम से लगातार आगे बढ़ते हैं।रिएक्टर के भीतर प्रवाह को सुव्यवस्थित किया जाता है, एक सुसंगत वेग प्रोफ़ाइल को बनाए रखता है जहां प्रत्येक द्रव तत्व बिना किसी बैक-मिक्सिंग के रिएक्टर की अक्ष के समानांतर यात्रा करता है।यह व्यवस्था अभिकारकों को धीरे -धीरे उत्पादों में परिवर्तित करने की अनुमति देती है क्योंकि वे रिएक्टर की लंबाई के साथ प्रगति करते हैं।𝑑𝑥 के रूप में चिह्नित छायांकित खंड रिएक्टर के भीतर एक छोटे से मात्रा तत्व का प्रतिनिधित्व करता है।पीएफआर के अंदर होने वाली रासायनिक प्रतिक्रियाओं के मॉडलिंग के लिए यह अंतर स्लाइस की आवश्यकता होती है, क्योंकि यह प्रतिक्रिया दर और एकाग्रता में परिवर्तन का मूल्यांकन करने में मदद करता है क्योंकि अभिकारकों को आगे बढ़ाया जाता है।
रेडियल मिश्रण की अनुपस्थिति प्लग फ्लो स्थिति को संरक्षित करती है, यह सुनिश्चित करती है कि प्रत्येक द्रव तत्व अपनी यात्रा के दौरान अपनी पहचान और संरचना को बनाए रखता है।नतीजतन, एकाग्रता और प्रतिक्रिया दर रिएक्टर की लंबाई के साथ भिन्न होती है, लेकिन किसी भी क्रॉस-सेक्शन में समान रहते हैं।यह प्लग फ्लो विशेषता रासायनिक प्रक्रियाओं के लिए पीएफआर को उपयुक्त बनाता है जिन्हें प्रतिक्रिया समय और उत्पाद गठन पर सटीक नियंत्रण की आवश्यकता होती है।चूंकि सभी द्रव तत्वों में एक ही निवास समय होता है, इसलिए रिएक्टर लगातार उत्पाद की गुणवत्ता और कुशल अभिकारक रूपांतरण प्रदान करता है।इन फायदों के कारण, पीएफआर का उपयोग रासायनिक निर्माण में व्यापक रूप से किया जाता है, जिसमें पोलीमराइजेशन, गैस-चरण प्रतिक्रियाओं और उत्प्रेरक प्रक्रियाओं जैसे अनुप्रयोग शामिल हैं।
एक प्लग फ्लो रिएक्टर (पीएफआर) एक अद्वितीय प्रवाह पैटर्न पर संचालित होता है जो अपनी लंबाई के दौरान प्रतिक्रिया की स्थिति को सुसंगत रखता है।यह डिज़ाइन निवास के समय, तापमान और दबाव पर सटीक नियंत्रण की अनुमति देता है, जिससे सटीक प्रतिक्रिया प्रबंधन की आवश्यकता वाले रासायनिक प्रक्रियाओं के लिए पीएफआर अत्यधिक कुशल हो जाता है।यह खंड पीएफआर के विस्तृत परिचालन सिद्धांतों और औद्योगिक रासायनिक प्रसंस्करण में उनके महत्व की पड़ताल करता है।
एक प्लग फ्लो रिएक्टर (पीएफआर) में, तरल पदार्थ एक बेलनाकार ट्यूब या पाइप के साथ लगातार और समान रूप से चलते हैं, एक उच्च संगठित प्रवाह पैटर्न बनाते हैं।रिएक्टर के एक छोर पर रिएक्टर को पेश किया जाता है और दूसरे छोर तक तेजी से प्रवाहित किया जाता है, जहां वे उत्पादों के रूप में बाहर निकलते हैं।यह डिज़ाइन तरल पदार्थ के आंदोलन में किसी भी रुकावट के बिना इनलेट से आउटलेट तक एक सहज प्रगति सुनिश्चित करता है।रिएक्टर की वास्तुकला एक सुसंगत प्रवाह दिशा को बनाए रखती है, जो किसी भी पिछड़े मिश्रण या पुनरुत्थान को रोकती है।यह यूनिडायरेक्शनल आंदोलन अभिकारकों और उत्पादों की रासायनिक अखंडता को संरक्षित करने के लिए महत्वपूर्ण है क्योंकि वे रिएक्टर के माध्यम से यात्रा करते हैं।इस प्रवाह पैटर्न की एक प्रमुख विशेषता यह है कि तरल पदार्थ का प्रत्येक छोटा खंड, या प्लग, अपनी विशिष्ट रासायनिक पहचान को बरकरार रखता है क्योंकि यह रिएक्टर के माध्यम से चलता है।ये प्लग बाद में एक -दूसरे के साथ मिश्रण नहीं करते हैं, यह सुनिश्चित करते हुए कि प्रत्येक प्लग के भीतर रचना अपनी यात्रा के दौरान स्थिर रहती है।
द्रव खंडों का यह अलगाव कुशल रासायनिक प्रतिक्रियाओं के लिए एकाग्रता ग्रेडिएंट्स को संरक्षित करता है।रेडियल मिश्रण की अनुपस्थिति भी एक अधिक पूर्वानुमानित प्रतिक्रिया प्रोफ़ाइल की ओर ले जाती है, जिससे सटीक मॉडलिंग और रासायनिक प्रक्रियाओं के अनुकूलन की अनुमति मिलती है।एक पीएफआर के भीतर सुव्यवस्थित प्रवाह पैटर्न अशांति और अराजक आंदोलन को कम करता है, जो प्रतिक्रियाशील धाराओं की अखंडता को बनाए रखने में मदद करता है।यह व्यवस्थित प्रवाह उच्च रूपांतरण दक्षता का समर्थन करता है क्योंकि अभिकारक लगातार उसी प्रतिक्रिया स्थितियों का अनुभव करते हैं क्योंकि वे रिएक्टर से गुजरते हैं।बैक-मिक्सिंग की अनुपस्थिति यह सुनिश्चित करती है कि प्रत्येक प्लग का निवास समय समान है, जिससे तापमान और दबाव के लिए समान जोखिम होता है।यह एकरूपता प्रतिक्रिया दरों को बढ़ाती है और उत्पाद चयनात्मकता में सुधार करती है, जिसके परिणामस्वरूप अधिक नियंत्रित और कुशल रासायनिक प्रक्रिया होती है।प्रवाह पैटर्न और प्रतिक्रिया की स्थिति पर सटीक नियंत्रण के कारण, पीएफआर उन प्रतिक्रियाओं के लिए उपयुक्त हैं जिन्हें उच्च पैदावार और चयनात्मकता को प्राप्त करने के लिए एक सुसंगत वातावरण की आवश्यकता होती है।

चित्रा 4. प्लग फ्लो रिएक्टर (पीएफआर) निरंतर प्रवाह और प्रतिक्रिया प्रगति
एकाग्रता या तापमान में न्यूनतम उतार-चढ़ाव के साथ स्थिर-राज्य संचालन को बनाए रखने के लिए रिएक्टर की क्षमता इसे रासायनिक और दवा उद्योगों के लिए एक आदर्श विकल्प बनाती है।इन क्षेत्रों में, उत्पाद की स्थिरता और गुणवत्ता बनाए रखना महत्वपूर्ण है, और PFRS का अनुमानित प्रदर्शन इन आवश्यकताओं का प्रभावी ढंग से समर्थन करता है। PFR की स्केलेबिलिटी औद्योगिक अनुप्रयोगों में उनकी उपयोगिता को और बढ़ाती है।उनका मॉड्यूलर डिज़ाइन विभिन्न उत्पादन क्षमताओं को समायोजित करने के लिए रिएक्टर की लंबाई और व्यास के आसान समायोजन के लिए अनुमति देता है।यह लचीलापन, उनकी कुशल प्रवाह विशेषताओं के साथ संयुक्त, PFRS को बड़े पैमाने पर निरंतर प्रसंस्करण के लिए एक पसंदीदा विकल्प बनाता है।नतीजतन, वे व्यापक रूप से पोलीमराइजेशन, हाइड्रोजनीकरण और उत्प्रेरक प्रतिक्रियाओं जैसी प्रक्रियाओं में उपयोग किए जाते हैं, जहां एक नियंत्रित प्रतिक्रिया वातावरण को बनाए रखने के लिए उत्पाद की गुणवत्ता और प्रक्रिया दक्षता की आवश्यकता होती है।
प्लग फ्लो रिएक्टर (पीएफआर) रासायनिक परिवर्तनों के लिए कई फायदे प्रदान करते हैं।वे एक स्थिर प्रवाह दर को बनाए रखने और बैक-मिक्सिंग को रोकने के द्वारा सटीक प्रतिक्रिया नियंत्रण प्रदान करते हैं, यह सुनिश्चित करते हुए कि प्रतिक्रियाशील का प्रत्येक प्लग लगातार प्रतिक्रिया की स्थिति का अनुभव करता है।यह दक्षता को बढ़ाता है और उप-उत्पादों को कम करता है, जो अल्कोहल ऑक्सीकरण या वर्णक उत्पादन जैसी संवेदनशील प्रतिक्रियाओं के लिए महत्वपूर्ण है।पीएफआर भी उच्च उत्पाद शुद्धता और स्थिरता प्रदान करते हैं क्योंकि सभी अभिकारक समान प्रतिक्रिया समय और स्थितियों से गुजरते हैं।बैक-मिक्सिंग को रोककर, वे चयनात्मकता में सुधार करते हैं और अवांछित पक्ष प्रतिक्रियाओं को कम करते हैं, जिससे वे जटिल रासायनिक प्रक्रियाओं के लिए आदर्श बन जाते हैं।इसके अतिरिक्त, PFRS निरंतर उत्पादन का समर्थन करता है, डाउनटाइम को कम करता है और लागत को कम करता है, जो बड़े पैमाने पर निर्माण में दक्षता को बढ़ाता है।उनकी स्केलेबिलिटी और लचीलापन प्रवाह दरों और रिएक्टर आयामों के आसान समायोजन के लिए अनुमति देता है, पायलट-स्केल से पूर्ण पैमाने पर उत्पादन तक लगातार परिणाम सुनिश्चित करता है।ये लाभ PFRS को उच्च परिशुद्धता और दक्षता की आवश्यकता वाले उद्योगों में नियंत्रित रासायनिक परिवर्तनों के लिए एक पसंदीदा विकल्प बनाते हैं।
प्लग फ्लो रिएक्टरों (पीएफआर) को एक समान प्रवाह बनाए रखने के लिए डिज़ाइन किया गया है, यह सुनिश्चित करता है कि सभी प्रतिक्रियाशील कण रिएक्टर के माध्यम से एक ही वेग पर यात्रा करते हैं।यह एकरूपता गारंटी देती है कि तरल पदार्थ के प्रत्येक इनफिनिटिमल प्लग, जिसमें अभिकारक अणु, समान निवास समय होता है क्योंकि यह इनलेट से आउटलेट तक जाता है।नतीजतन, रिएक्टर में प्रवेश करने वाले प्रत्येक अणु को तापमान, दबाव और एकाग्रता ग्रेडिएंट सहित लगातार प्रतिक्रिया की स्थिति के संपर्क में आता है, क्योंकि यह प्रतिक्रिया मार्ग के माध्यम से आगे बढ़ता है।यह समान प्रवाह पैटर्न प्रतिक्रिया दरों में भिन्नता को कम करता है, जिससे अधिक पूर्वानुमान और नियंत्रणीय रासायनिक परिवर्तनों के लिए अग्रणी होता है।और क्योंकि प्रत्येक प्लग के भीतर कोई पार्श्व मिश्रण नहीं है, एकाग्रता प्रोफ़ाइल रिएक्टर की लंबाई के साथ तेजी से परिभाषित रहती है, प्रतिक्रिया कैनेटीक्स और रूपांतरण दरों पर सटीक नियंत्रण की अनुमति देता है।यह विशेषता उन प्रतिक्रियाओं के संचालन के लिए PFRS को लाभप्रद बनाती है, जिन्हें इष्टतम पैदावार प्राप्त करने के लिए सख्त निवास समय प्रबंधन की आवश्यकता होती है।
PFRS में प्लग फ्लो पैटर्न प्रभावी रूप से प्रतिक्रियाशीलों के बैक-मिक्सिंग या पुनर्संरचना को समाप्त करता है, अन्य रिएक्टर प्रकारों जैसे कि निरंतर हलचल टैंक रिएक्टरों (CSTRS) में एक सामान्य मुद्दा।रूपांतरण के विभिन्न चरणों में अभिकारकों के बीच किसी भी बातचीत को रोककर, पीएफआर प्रतिक्रिया दक्षता को बढ़ाता है और अधिक समान उत्पाद संरचना सुनिश्चित करता है।बैक-मिक्सिंग की यह कमी भी अवांछित उप-उत्पादों के गठन को कम करती है, क्योंकि अभिकारक समय से पहले अधिक उन्नत प्रतिक्रिया मध्यवर्ती या अंतिम उत्पादों के साथ बातचीत नहीं कर सकते हैं।परिणामी समान प्रतिक्रिया वातावरण चयनात्मकता और उत्पाद शुद्धता के लिए जटिल रासायनिक प्रणालियों के लिए फायदेमंद है।नतीजतन, पीएफआर का उपयोग व्यापक रूप से उच्च परिशुद्धता रासायनिक संश्लेषण की आवश्यकता वाले उद्योगों में किया जाता है, जैसे कि फार्मास्यूटिकल्स और विशेष रसायन।प्रतिक्रिया चरणों के बीच क्रॉस-संदूषण से बचने के दौरान लगातार प्रतिक्रिया की स्थिति बनाए रखने की उनकी क्षमता आधुनिक रासायनिक इंजीनियरिंग प्रक्रियाओं में उनके महत्व को दर्शाती है।
एक प्लग फ्लो रिएक्टर (पीएफआर) में, रिएक्टर के अंदर रिएक्टर अणुओं के प्रत्येक समूह को जो समय लगता है, वह सुसंगत है, जो कि सर्वोत्तम प्रतिक्रिया दर और उच्च रूपांतरण दक्षता प्राप्त करने के लिए बहुत महत्वपूर्ण है।एक पीएफआर में, रिएक्टेंट अलग -अलग प्लग के रूप में प्रवेश करते हैं जो रिएक्टर के माध्यम से एक ही गति से चलते हैं, जिसका अर्थ है कि प्रत्येक प्लग समान स्थितियों, जैसे तापमान और दबाव का अनुभव करता है, जैसा कि यह यात्रा करता है।यह भी एक्सपोज़र सटीक नियंत्रण के लिए अनुमति देता है कि प्रतिक्रिया कितनी दूर है और कौन से उत्पाद बनाए जाते हैं।क्योंकि प्रत्येक प्लग को एक ही उपचार मिलता है, उत्पाद की गुणवत्ता में अवांछित पक्ष प्रतिक्रियाओं या भिन्नता की संभावना बहुत कम हो जाती है।यह उन प्रतिक्रियाओं के लिए PFRS को उपयोगी बनाता है जो तापमान, दबाव या समय में परिवर्तन के प्रति संवेदनशील हैं।एक स्थिर और पूर्वानुमानित वातावरण प्रदान करके, PFRS सुसंगत और विश्वसनीय प्रतिक्रिया परिणाम प्राप्त करने में मदद करता है, जिससे अनुकूलित प्रतिक्रिया दरों के लिए अग्रणी होता है।
PFRS प्रवाह पथ के साथ अभिकारकों के मिश्रण को भी रोकता है, जो प्रतिक्रिया को अधिक प्रभावी ढंग से नियंत्रित करने में मदद करता है।निरंतर हलचल टैंक रिएक्टरों (CSTRS) के विपरीत, जहां अभिकर्मकों को लगातार मिश्रित किया जाता है, PFR एक स्थिर प्रवाह बनाए रखते हैं जहां अभिकारक उनके पीछे या आगे के प्लग के साथ मिलाने के बिना आगे बढ़ते हैं।यह सुनिश्चित करता है कि अभिकारकों को धीरे -धीरे उत्पादों में परिवर्तित किया जाता है क्योंकि वे रिएक्टर के माध्यम से आगे बढ़ते हैं, जो ओवररिएक्शन या अंडरराइक्शन से बचने में मदद करता है।प्रतिक्रिया समय और एकाग्रता पर यह सटीक नियंत्रण वांछित उत्पाद के लिए चयनात्मकता में सुधार करता है, जिसके परिणामस्वरूप उच्च पैदावार और बेहतर समग्र दक्षता होती है।नियंत्रण का यह स्तर जटिल प्रतिक्रियाओं के लिए महत्वपूर्ण है जो मध्यवर्ती प्रजातियों का उत्पादन करते हैं, क्योंकि यह अवांछित पक्ष प्रतिक्रियाओं से बचने के लिए इन मध्यवर्ती के सावधानीपूर्वक प्रबंधन की अनुमति देता है।इस वजह से, पीएफआर का व्यापक रूप से उन उद्योगों में उपयोग किया जाता है जहां उच्च चयनात्मकता, उत्पादकता और सुसंगत उत्पाद की गुणवत्ता की आवश्यकता होती है।
प्लग फ्लो रिएक्टरों (पीएफआर) की स्थिर प्रवाह पैटर्न विशेषता रिएक्टर की पूरी लंबाई में समान तापमान और दबाव प्रोफाइल सुनिश्चित करती है।यह एकरूपता स्थानीयकृत हॉट स्पॉट या कोल्ड ज़ोन को रोकने में अच्छी है जो प्रतिक्रिया दरों और उत्पाद की गुणवत्ता को नकारात्मक रूप से प्रभावित कर सकती है।रासायनिक प्रक्रियाओं में, तापमान भिन्नता असमान प्रतिक्रिया दर का कारण बन सकती है, जिससे अवांछनीय उप-उत्पादों या असंगत उत्पाद पैदावार का गठन हो सकता है।एक सुसंगत तापमान प्रोफ़ाइल को बनाए रखने से, PFRs प्रतिक्रिया कैनेटीक्स पर अधिक सटीक नियंत्रण को सक्षम करते हैं, यह सुनिश्चित करते हुए कि रासायनिक प्रतिक्रियाएं इच्छित दर पर आगे बढ़ती हैं।यह नियंत्रण अत्यधिक एक्सोथर्मिक या एंडोथर्मिक प्रतिक्रियाओं के लिए फायदेमंद है, जहां मामूली तापमान में उतार -चढ़ाव भी भगोड़े प्रतिक्रियाओं या अपूर्ण रूपांतरणों को जन्म दे सकता है।समान तापमान वितरण बढ़ाया सुरक्षा, उत्पाद स्थिरता और समग्र प्रक्रिया विश्वसनीयता में योगदान देता है।
तापमान एकरूपता के अलावा, PFRS में स्थिर प्रवाह पैटर्न भी रिएक्टर की लंबाई के साथ लगातार दबाव प्रोफाइल सुनिश्चित करता है।एक स्थिर दबाव वातावरण इष्टतम रूपांतरण दक्षता प्राप्त करने के लिए वांछित प्रवाह दरों और प्रतिक्रियाशील सांद्रता को बनाए रखने में मदद करता है।यह स्थिरता गर्मी और द्रव्यमान हस्तांतरण दक्षता को बढ़ाती है, जिससे अभिकारकों को उत्प्रेरक या प्रतिक्रिया माध्यम के साथ समान रूप से बातचीत करने की अनुमति मिलती है।बेहतर द्रव्यमान हस्तांतरण एकाग्रता ग्रेडिएंट को कम करता है, जो अन्यथा प्रतिक्रिया दरों और कम रूपांतरण दक्षता को सीमित कर सकता है।समान दबाव और तापमान प्रोफाइल रिएक्टर की दीवारों पर यांत्रिक तनाव को कम करते हैं, उपकरणों को लंबे समय तक जीवन और रखरखाव की लागत को कम करते हैं।कुल मिलाकर, स्थिर तापमान और दबाव की स्थिति बनाए रखने के लिए पीएफआर की क्षमता सुरक्षित और विश्वसनीय संचालन सुनिश्चित करते हुए प्रतिक्रिया दक्षता और उत्पाद की गुणवत्ता को अधिकतम करती है।
प्लग फ्लो रिएक्टर (पीएफआर) उनके सुसंगत प्रवाह पैटर्न और बैक-मिक्सिंग की अनुपस्थिति के कारण प्रतिक्रिया चयनात्मकता को नियंत्रित करने में लाभ प्रदान करते हैं।एक पीएफआर में, रिएक्टर रिएक्टर के माध्यम से एक प्लग के रूप में चलते हैं, रिएक्टर की लंबाई में अपने सापेक्ष स्थिति को बनाए रखते हैं।यह यूनिडायरेक्शनल फ्लो पैटर्न रासायनिक प्रतिक्रिया की एक अनुमानित प्रगति के लिए अनुमति देता है, क्योंकि रिएक्टर की लंबाई के साथ अभिकारकों को लगातार उपभोग किया जाता है।जैसा कि अभिकारकों को कम किया जाता है, एक एकाग्रता ढाल स्वाभाविक रूप से स्थापित होती है, जो लगातार प्रतिक्रिया को आगे बढ़ाती है।यह ढाल यह सुनिश्चित करती है कि अभिकारकों को रिएक्टर के साथ प्रत्येक बिंदु पर इष्टतम प्रतिक्रिया स्थितियों के संपर्क में लाया जाता है, कुशल रूपांतरण दरों को बढ़ावा दिया जाता है।व्यवस्थित प्रवाह अभिकारकों और उत्पादों के समय से पहले मिश्रण की संभावना को कम करता है, इच्छित प्रतिक्रिया मार्ग को संरक्षित करता है और चयनात्मकता को बढ़ाता है।बैक-मिक्सिंग की अनुपस्थिति न केवल प्रतिक्रिया वातावरण पर बेहतर नियंत्रण में योगदान देती है, बल्कि समग्र प्रतिक्रिया दक्षता का अनुकूलन करते हुए, अभिकारक-समृद्ध और उत्पाद-समृद्ध क्षेत्रों के बीच एक तेज संक्रमण को बनाए रखने में भी मदद करती है।
यह प्रवाह विशेषता उन प्रतिक्रियाओं के लिए फायदेमंद है जो पहले-क्रम या उच्च-क्रम कैनेटीक्स का पालन करती हैं, जहां प्रतिक्रिया दर सीधे प्रतिक्रियाशील सांद्रता से प्रभावित होती है।ऐसे मामलों में, रिएक्टर की लंबाई के साथ एकाग्रता ढाल यह सुनिश्चित करती है कि प्रतिक्रिया दर लगातार उच्च है जहां अभिकारक सांद्रता सबसे बड़ी है, क्योंकि अभिकारकों को कम किया जाता है।PFRS में रेडियल मिश्रण की कमी यह गारंटी देती है कि सभी प्रतिक्रियाशील अणु समान रूप से उत्प्रेरक या प्रतिक्रिया की स्थिति के संपर्क में हैं, स्थानीयकृत विविधताओं को रोकते हैं जो साइड प्रतिक्रियाओं या अवांछित उप-उत्पादों के गठन को जन्म दे सकते हैं।यह समान एक्सपोज़र वांछित उत्पाद की ओर चयनात्मकता को बढ़ाता है, क्योंकि यह प्रतिस्पर्धी प्रतिक्रियाओं की संभावना को कम करता है जो अलग -अलग एकाग्रता की स्थिति के तहत होते हैं।एक नियंत्रित वातावरण को बनाए रखने और अभिकारक सांद्रता में विचलन को रोककर, पीएफआर प्रतिक्रिया मार्गों पर बेहतर नियंत्रण प्रदान करते हैं, उपज और उत्पाद शुद्धता को अधिकतम करते हैं।
एक निरंतर हलचल टैंक रिएक्टर (CSTR) और एक प्लग फ्लो रिएक्टर (PFR) के बीच चयन एक रासायनिक प्रक्रिया की विशिष्ट आवश्यकताओं पर निर्भर करता है।इन दो रिएक्टर प्रकारों में अलग -अलग परिचालन सिद्धांत होते हैं और वे अलग -अलग प्रतिक्रिया कैनेटीक्स के लिए अनुकूल होते हैं।उनके अंतर को समझना किसी दिए गए एप्लिकेशन के लिए सबसे कुशल रिएक्टर का चयन करने में मदद करता है।
CSTRS (निरंतर हलचल टैंक रिएक्टरों) को आदर्श मिश्रण की स्थिति को प्राप्त करने और बनाए रखने के लिए डिज़ाइन किया गया है, यह सुनिश्चित करता है कि एकाग्रता, तापमान और दबाव पूरे रिएक्टर की मात्रा में समान रहे।इसका मतलब यह है कि सिस्टम में प्रवेश करने वाले किसी भी अभिकर्मक को तुरंत और पूरी तरह से पहले से ही अंदर की सामग्री के साथ मिलाया जाता है, जिससे हर समय एक सजातीय मिश्रण होता है।इस अच्छी तरह से मिश्रित प्रकृति के कारण, रिएक्टर को छोड़ने वाली आउटपुट स्ट्रीम में आंतरिक प्रतिक्रिया मिश्रण के लिए एक समान रचना है, जो स्थिर-राज्य संचालन सुनिश्चित करती है।यह विशेषता उन प्रतिक्रियाओं के लिए फायदेमंद है जिन्हें स्थिर ऑपरेटिंग स्थितियों की आवश्यकता होती है, क्योंकि यह प्रतिक्रिया मापदंडों पर सटीक नियंत्रण के लिए अनुमति देता है।अच्छी तरह से मिश्रित वातावरण गतिज मॉडलिंग को सरल बनाता है क्योंकि प्रतिक्रिया दर रिएक्टर के अनुरूप बनी हुई है।यह भविष्यवाणी एक एक्सोथर्मिक प्रतिक्रियाओं के लिए फायदेमंद है जो थर्मल रनवे के जोखिम को पैदा करती है, क्योंकि रिएक्टर में कुशल गर्मी अपव्यय स्थानीयकृत हॉट स्पॉट की संभावना को कम करता है।नतीजतन, CSTRS का उपयोग आमतौर पर बड़े पैमाने पर औद्योगिक अनुप्रयोगों में किया जाता है जहां एक नियंत्रित और समान प्रतिक्रिया वातावरण को बनाए रखने के लिए सुरक्षा और दक्षता दोनों के लिए आवश्यकता होती है।

चित्रा 5. रिएक्टरों में आदर्श मिश्रण बनाम खंडित प्रवाह की तुलना
इसके विपरीत, PFRS (प्लग फ्लो रिएक्टर) एक खंड या प्लग फ्लो शासन के तहत काम करते हैं, जहां व्यक्तिगत द्रव तत्व या प्लग रिएक्टर के माध्यम से एक दूसरे के साथ बाद में मिश्रण किए बिना रिएक्टर के माध्यम से क्रमिक रूप से चलते हैं।यह प्रवाह पैटर्न रिएक्टर की लंबाई के साथ एक एकाग्रता ढाल स्थापित करता है, जिसका अर्थ है कि प्रतिक्रियाशील सांद्रता इनलेट पर सबसे अधिक होती है और उत्तरोत्तर कम होती है क्योंकि वे प्रतिक्रिया में सेवन करते हैं, जबकि उत्पाद सांद्रता आउटलेट की ओर बढ़ती है।क्योंकि प्रत्येक प्लग अपनी यात्रा के दौरान अपनी अलग रासायनिक संरचना को बरकरार रखता है, प्रतिक्रिया रिएक्टर की अक्षीय दिशा के साथ एक नियंत्रित और अनुमानित तरीके से आगे बढ़ती है।CSTRS के विपरीत, जो तात्कालिक मिश्रण मानते हैं, PFRs उत्पादों में अभिकारकों के क्रमिक परिवर्तन के लिए अनुमति देते हैं, बैच रिएक्टरों के व्यवहार की नकल करते हैं, लेकिन निरंतर आधार पर।यह प्रवाह व्यवहार उन प्रतिक्रियाओं में उपयोगी है जहां उच्च रूपांतरण दक्षता प्राप्त करने के लिए बैक-मिक्सिंग को कम करना आवश्यक है।पूर्ण मिश्रण की अनुपस्थिति यह सुनिश्चित करती है कि रिएक्टेंट रिएक्टर में एक परिभाषित राशि खर्च करते हैं, जिससे विशिष्ट प्रतिक्रियाओं के लिए अनुकूलित निवास समय के साथ रिएक्टरों को डिजाइन करने की अनुमति मिलती है।
पीएफआर के खंडित प्रवाह विशेषताएं प्रतिक्रिया कैनेटीक्स और उत्पाद चयनात्मकता पर सटीक नियंत्रण की आवश्यकता वाली प्रतिक्रियाओं के लिए लाभ प्रदान करती हैं।मिश्रण के माध्यम से मध्यवर्ती प्रजातियों के कमजोर पड़ने को रोककर, पीएफआर चयनात्मकता के अनुकूलन के लिए प्रतिक्रिया मार्गों के बेहतर हेरफेर को सक्षम करते हैं और अवांछित उत्पादों के गठन को कम करते हैं।यह पेट्रोकेमिकल्स और फार्मास्यूटिकल्स जैसे उद्योगों में महत्वपूर्ण है, जहां अंतिम उत्पाद की शुद्धता एक महत्वपूर्ण चिंता है।प्रत्येक प्लग के भीतर अलग -अलग रासायनिक रचनाओं को बनाए रखने की क्षमता उत्प्रेरक के अधिक कुशल उपयोग के लिए अनुमति देती है, क्योंकि अभिकारकों ने उनकी प्रगति के दौरान इष्टतम परिस्थितियों का सामना किया।जबकि CSTRS स्थिर-राज्य संचालन और नियंत्रण में आसानी का लाभ प्रदान करता है, PFRs उन परिदृश्यों के लिए बेहतर अनुकूल हैं जहां रूपांतरण को अधिकतम करना और सख्त गतिज नियंत्रण बनाए रखना प्राथमिकताएं हैं।एक CSTR और PFR के बीच की पसंद प्रतिक्रिया की विशिष्ट आवश्यकताओं पर निर्भर करती है, जिसमें वांछित उत्पाद उपज, गर्मी प्रबंधन और प्रतिक्रिया समय की कमी जैसे कारक शामिल हैं।
एक प्लग फ्लो रिएक्टर (PFR) में प्रवाह की गतिशीलता को वैचारिक रूप से बेहद पतली, पूरी तरह से मिश्रित निरंतर हलचल टैंक रिएक्टरों (CSTRS) की एक श्रृंखला के रूप में समझा जा सकता है, जिसे रिएक्टर की लंबाई के साथ क्रमिक रूप से व्यवस्थित किया गया है।इनमें से प्रत्येक लघु CSTRS अक्षीय दिशा में एक सख्त पृथक्करण को बनाए रखते हुए रेडियल दिशा में पूर्ण मिश्रण सुनिश्चित करता है, जिसका अर्थ है कि विभिन्न खंडों के बीच कोई पिछड़ा मिश्रण नहीं है।यह अनूठी विशेषता एक निरंतर और क्रमिक एकाग्रता ढाल की स्थापना के लिए अनुमति देती है, जहां प्रतिक्रियाशील सांद्रता लगातार कम हो जाती है जबकि उत्पाद सांद्रता बढ़ जाती है क्योंकि प्रतिक्रिया इनलेट से आउटलेट तक बढ़ती है।इस डिज़ाइन के कारण, पीएफआर प्रभावी रूप से अधिक दक्षता के साथ रासायनिक प्रतिक्रियाओं को आगे बढ़ाते हैं, यह सुनिश्चित करते हुए कि प्रतिक्रियाकर्ताओं को बैक-मिक्सिंग थैली रिएक्शन प्रगति के जोखिम के बिना उत्पादों में एक नियंत्रित परिवर्तन से गुजरना पड़ता है।यह खंडित प्रवाह मॉडल जटिल प्रतिक्रिया कैनेटीक्स का सटीक अनुकरण करने के लिए अत्यधिक फायदेमंद है, क्योंकि यह प्रतिक्रिया दरों की भविष्यवाणी करने और अभिकारकों और उत्पादों के समय-निर्भर विकास के आधार पर रिएक्टर आयामों को अनुकूलित करने की अनुमति देता है।रिएक्टर की लंबाई के साथ प्रतिक्रिया की स्थिति को ठीक से नियंत्रित करने की क्षमता पीएफआर को विशिष्ट प्रतिक्रिया अनुक्रमों की आवश्यकता वाली प्रक्रियाओं के लिए उपयोगी बनाती है, जैसे कि कई प्रतिक्रिया चरणों या मध्यवर्ती को शामिल करने वाले जिन्हें अगले चरण में जाने से पहले अभिकारकों के लिए सटीक जोखिम की आवश्यकता होती है।
दूसरी ओर, रिएक्टर की पूरी मात्रा में पूर्ण और समान मिश्रण के सिद्धांत के तहत निरंतर हलचल टैंक रिएक्टर (CSTRS) कार्य करते हैं, यह सुनिश्चित करते हुए कि सभी प्रतिक्रियाशील अणु समान रूप से वितरित किए जाते हैं और समान प्रतिक्रिया स्थितियों के संपर्क में हैं।हालांकि, यह पूर्ण मिश्रण एक व्यापक निवास समय वितरण में परिणाम देता है, जिसका अर्थ है कि सभी अभिकारक अणु रिएक्टर के भीतर समान समय खर्च नहीं करते हैं।कुछ अणु एक पूर्ण प्रतिक्रिया से गुजरने से पहले सिस्टम से बहुत जल्द बाहर निकल सकते हैं, जबकि अन्य एक विस्तारित अवधि के लिए रिएक्टर में रह सकते हैं, संभवतः ओवररिएक्शन या अवांछित पक्ष प्रतिक्रियाओं के लिए अग्रणी हो सकते हैं।निवास के समय में यह परिवर्तनशीलता अंतिम उत्पाद की स्थिरता और गुणवत्ता को सीधे प्रभावित कर सकती है, जिससे सीएसटीआरएस उन प्रतिक्रियाओं के लिए कम आदर्श हो सकता है जिनके लिए सटीक निवास समय नियंत्रण या उच्च रूपांतरण दक्षता की आवश्यकता होती है।औद्योगिक अनुप्रयोगों में जहां प्रतिक्रिया एकरूपता और स्थिर-राज्य संचालन की आवश्यकता होती है, संचालन में आसानी और बड़े पैमाने पर निरंतर उत्पादन को संभालने की क्षमता के कारण CSTRS एक लोकप्रिय विकल्प बने हुए हैं।हालांकि, अत्यधिक चयनात्मक प्रतिक्रियाओं या कई प्रतिक्रिया चरणों को शामिल करने वालों के लिए, पीएफआर अक्सर यह सुनिश्चित करके बेहतर प्रदर्शन प्रदान करते हैं कि अभिकारक CSTRS में व्यापक निवास समय वितरण से जुड़े अप्रत्याशितता के बिना एक अच्छी तरह से परिभाषित और अनुमानित प्रतिक्रिया पथ का पालन करते हैं।
निरंतर हलचल टैंक रिएक्टर (CSTRS) एक अच्छी तरह से मिश्रित और स्थिर प्रतिक्रिया वातावरण प्रदान करते हैं, जिससे उन्हें रासायनिक प्रक्रियाओं के लिए फायदेमंद होता है जिसमें धीमी प्रतिक्रिया कैनेटीक्स शामिल होती है या सटीक थर्मल विनियमन की आवश्यकता होती है।चूंकि लगातार सरगर्मी के कारण रिएक्टर में प्रतिक्रियाशील सांद्रता स्थिर रहती है, इसलिए प्रतिक्रिया दर को स्थिर स्तरों पर बनाए रखा जा सकता है, जिससे अनुमानित प्रदर्शन सुनिश्चित होता है।यह उन प्रतिक्रियाओं के लिए उपयोगी है जहां एक समान एकाग्रता प्रोफ़ाइल को बनाए रखना प्रतिक्रिया प्रगति को बनाए रखने के लिए आवश्यक है, साथ ही साथ संतुलन-सीमित प्रतिक्रियाओं के लिए जहां निरंतर प्रतिक्रियाशील पुनःपूर्ति फायदेमंद है।CSTR में निरंतर आंदोलन कुशल गर्मी वितरण की सुविधा प्रदान करता है, स्थानीयकृत तापमान भिन्नताओं को रोकता है जो अन्यथा प्रतिक्रिया अस्थिरता या अवांछित पक्ष प्रतिक्रियाओं को जन्म दे सकता है।समान थर्मल स्थितियों को बनाए रखने से, CSTRS एक्सोथर्मिक प्रतिक्रियाओं से जुड़े जोखिमों को कम करता है, जैसे कि अचानक तापमान स्पाइक्स जो सुरक्षा या उत्पाद की गुणवत्ता से समझौता कर सकते हैं।उच्च परिशुद्धता के साथ तापमान और एकाग्रता को विनियमित करने की यह क्षमता CSTRS को उत्पाद एकरूपता सुनिश्चित करने, पक्ष प्रतिक्रियाओं को कम करने और परिचालन सुरक्षा को बनाए रखने के लिए बड़े पैमाने पर औद्योगिक प्रक्रियाओं के लिए एक पसंदीदा विकल्प बनाती है।
इसके विपरीत, प्लग फ्लो रिएक्टर (पीएफआर) एक अलग लाभ प्रदान करते हैं जब यह उच्च चयनात्मकता और अनुमानित रूपांतरण दरों की आवश्यकता वाली प्रक्रियाओं के लिए गतिज नियंत्रण और प्रतिक्रिया दक्षता की बात आती है।एक पीएफआर के माध्यम से अभिकारकों का यूनिडायरेक्शनल प्रवाह यह सुनिश्चित करता है कि प्रत्येक अणु रिएक्टर के माध्यम से एक अच्छी तरह से परिभाषित पथ का अनुसरण करता है, बिना बैक-मिक्सिंग या समय से पहले कमजोर पड़ने के बिना एक सुसंगत निवास समय का अनुभव करता है।अभिकारकों की यह नियंत्रित प्रगति प्रतिक्रिया स्थितियों के सटीक हेरफेर के लिए अनुमति देती है, जो तेजी से, अपरिवर्तनीय प्रतिक्रियाओं के लिए महत्वपूर्ण है जहां रिएक्टर से बाहर निकलने से पहले अभिकारकों को पूर्ण परिवर्तन से गुजरना होगा।बैक-मिक्सिंग की अनुपस्थिति भी मध्यवर्ती प्रजातियों पर बेहतर नियंत्रण में सक्षम बनाती है, यह सुनिश्चित करती है कि प्रतिक्रिया का प्रत्येक चरण चयनात्मकता को अधिकतम करने के लिए इष्टतम परिस्थितियों में होता है।एक स्थिर एकाग्रता ढाल को बनाए रखने और कुशल प्रतिक्रिया प्रगति को सक्षम करने से, पीएफआर उन प्रक्रियाओं के लिए बेहतर प्रदर्शन प्रदान करते हैं जो उच्च रूपांतरण दक्षता की मांग करते हैं, जिससे वे उन अनुप्रयोगों के लिए पसंदीदा विकल्प बन जाते हैं जहां उपज और उत्पाद शुद्धता को अधिकतम करना एक सर्वोच्च प्राथमिकता है।
निरंतर हलचल टैंक रिएक्टरों (CSTRS) को व्यापक रूप से औद्योगिक प्रक्रियाओं में निरंतर मिश्रण और समान प्रतिक्रिया स्थितियों को बनाए रखने के लिए नियोजित किया जाता है।CSTRS के सबसे आम अनुप्रयोगों में से एक किण्वन प्रक्रियाओं में है, जहां सूक्ष्मजीवों या एंजाइमों को इष्टतम चयापचय गतिविधि को बनाए रखने के लिए एक सुसंगत वातावरण की आवश्यकता होती है।निरंतर आंदोलन यह सुनिश्चित करता है कि पोषक तत्व, ऑक्सीजन, और अन्य अभिकारकों को पूरे सिस्टम में समान रूप से वितरित किया जाता है, स्थानीयकृत कमी को रोकता है जो माइक्रोबियल विकास या एंजाइमेटिक दक्षता में बाधा डाल सकता है।CSTRs अत्यधिक चिपचिपा तरल पदार्थों को संभालने के लिए अत्यधिक प्रभावी हैं, जैसे कि पोलीमराइजेशन प्रतिक्रियाओं में सामना करना पड़ा, जहां लगातार आणविक भार वितरण को प्राप्त करने और स्थानीयकृत जेल गठन को रोकने के लिए समान आंदोलन को बनाए रखना आवश्यक है।सटीक तापमान नियंत्रण प्रदान करने की उनकी क्षमता उनकी औद्योगिक उपयोगिता में एक और महत्वपूर्ण कारक है, एक्सोथर्मिक प्रतिक्रियाओं के लिए जिन्हें थर्मल रनवे को रोकने के लिए कुशल गर्मी अपव्यय की आवश्यकता होती है।एक CSTR के भीतर सजातीय स्थितियां इसे तरल-चरण प्रतिक्रियाओं के लिए एक आदर्श विकल्प बनाती हैं, जब उत्पाद की गुणवत्ता और प्रक्रिया स्थिरता का महत्व होता है।CSTRS पर भरोसा करने वाले उद्योगों में फार्मास्यूटिकल्स, फाइन रसायन, अपशिष्ट जल उपचार और भोजन और पेय उत्पादन शामिल हैं, जहां प्रतिक्रिया की स्थिति में स्थिरता सीधे उत्पाद प्रदर्शन और नियामक अनुपालन को प्रभावित करती है।
दूसरी ओर, प्लग फ्लो रिएक्टर (पीएफआर), उन प्रक्रियाओं के लिए पसंदीदा विकल्प हैं जिन्हें उच्च रूपांतरण दर, प्रतिक्रिया कैनेटीक्स पर सटीक नियंत्रण और न्यूनतम बैक-मिक्सिंग की आवश्यकता होती है।उनका डिजाइन उन्हें गैस-चरण प्रतिक्रियाओं के लिए अच्छी तरह से अनुकूल बनाता है, जैसे कि अमोनिया, मेथनॉल और हाइड्रोजन के उत्पादन में उपयोग किए जाने वाले, जहां एक नियंत्रित एकाग्रता ढाल को बनाए रखना उपज को अनुकूलित करने के लिए महान है।PFRS उत्प्रेरक क्रैकिंग में भी एक भूमिका निभाता है, पेट्रोलियम उद्योग में एक प्रमुख प्रक्रिया का उपयोग बड़े हाइड्रोकार्बन अणुओं को गैसोलीन और डीजल जैसे अधिक मूल्यवान उत्पादों में तोड़ने के लिए किया जाता है।पीएफआर का यूनिडायरेक्शनल फ्लो पैटर्न यह सुनिश्चित करके उच्च प्रतिक्रिया दक्षता का समर्थन करता है कि अभिकारक एक पूर्वानुमान परिवर्तन से गुजरते हैं, पक्ष प्रतिक्रियाओं को कम करते हैं और चयनात्मकता में सुधार करते हैं।PFR को पैक-बेड रिएक्टरों के रूप में डिज़ाइन किया जा सकता है, जहां ठोस उत्प्रेरक या संरचित पैकिंग सामग्री द्रव्यमान और गर्मी हस्तांतरण को बढ़ाती है, जिससे वे उत्प्रेरक और विषम प्रतिक्रियाओं के लिए आदर्श होते हैं।यह अनुकूलनशीलता PFRS को रासायनिक उत्पादन प्रक्रियाओं की एक विस्तृत श्रृंखला में उपयोग करने की अनुमति देती है, जिसमें ऑक्सीकरण प्रतिक्रियाएं, बहुलक संश्लेषण और विशेष रासायनिक निर्माण शामिल हैं।सटीक गतिज नियंत्रण के साथ उच्च रूपांतरण दक्षता प्राप्त करने की उनकी क्षमता उन्हें बड़े पैमाने पर औद्योगिक अनुप्रयोगों का एक मूल बनाती है, विशेष रूप से पेट्रोकेमिकल, बहुलक और विशेष रासायनिक क्षेत्रों में।
प्लग फ्लो रिएक्टर (पीएफआर) समीकरण की व्युत्पत्ति यह समझने के लिए महत्वपूर्ण है कि कैसे पीएफआर कुशलता से प्रतिक्रिया कैनेटीक्स, तापमान और दबाव का प्रबंधन करके रासायनिक प्रतिक्रियाओं को कुशलता से नियंत्रित करते हैं।यह ब्रेकडाउन पीएफआर समीकरण को तैयार करने में शामिल बुनियादी सिद्धांतों और गणितीय चरणों की व्याख्या करता है, यह अंतर्दृष्टि प्रदान करता है कि ये रिएक्टर उच्च रूपांतरण दर और चयनात्मकता को कैसे प्राप्त करते हैं।
एक पीएफआर निरंतर और समान प्रवाह के सिद्धांत पर संचालित होता है।अभिकारक एक छोर पर प्रवेश करते हैं और रिएक्टर के माध्यम से एक प्लग-जैसे तरीके से चलते हैं, बैक-मिक्सिंग या रेडियल फैलाव के बिना आउटलेट की ओर लगातार आगे बढ़ते हैं।यह प्रवाह पैटर्न एक सिलेंडर के माध्यम से चलते हुए एक पिस्टन के समान है, जहां द्रव का प्रत्येक खंड अपनी रासायनिक पहचान को बरकरार रखता है और एक ही वेग पर आगे बढ़ता है।यह समान आंदोलन यह सुनिश्चित करता है कि अभिकारक का प्रत्येक खंड समान निवास समय का अनुभव करता है, लगातार प्रतिक्रिया की स्थिति को बनाए रखता है।यह स्थिरता सटीक गतिज नियंत्रण के लिए अच्छी है, जिससे पीएफआर जटिल प्रतिक्रियाओं के लिए प्रभावी हो जाता है जिसमें सटीक समय और एकाग्रता प्रबंधन की आवश्यकता होती है।
एक पीएफआर का संचालन रिएक्टर के एक अंतर मात्रा के भीतर द्रव्यमान और गर्मी संतुलन को लागू करने पर निर्भर करता है।तरल पदार्थ के एक छोटे स्लाइस का विश्लेषण करके क्योंकि यह रिएक्टर के माध्यम से चलता है, रासायनिक कैनेटीक्स को मॉडल करना और उत्पाद वितरण की सटीक भविष्यवाणी करना संभव है।एक आदर्श पीएफआर में, बैक-मिक्सिंग और रेडियल फैलाव की अनुपस्थिति प्रत्येक द्रव खंड को अलग रखती है, इसके रासायनिक इतिहास को संरक्षित करती है।यह यूनिडायरेक्शनल फ्लो पैटर्न रिएक्टर की लंबाई के साथ एक एकाग्रता ढाल बनाता है, उत्पाद सांद्रता में वृद्धि के दौरान प्रतिक्रियाशील सांद्रता कम हो जाती है।यह ढाल कुशलता से रासायनिक प्रतिक्रिया को आगे बढ़ाता है।द्रव्यमान संतुलन का उपयोग अभिकारकों की खपत और उत्पादों के गठन को ट्रैक करने के लिए किया जाता है, जबकि ताप संतुलन तापमान परिवर्तन के लिए होता है जो प्रतिक्रिया दरों को प्रभावित करता है।सादगी के लिए, व्युत्पत्ति अक्सर तापमान भिन्नता की जटिलता के बिना द्रव्यमान संतुलन और प्रतिक्रिया कैनेटीक्स पर ध्यान केंद्रित करते हुए, इज़ोटेर्मल स्थितियों को मानती है।
PFR समीकरण रिएक्टर के एक अंतर मात्रा पर द्रव्यमान संतुलन से लिया गया है।इज़ोटेर्मल स्थितियों के तहत, रिएक्टर की लंबाई के साथ प्रतिक्रियात्मक एकाग्रता में परिवर्तन प्रतिक्रिया दर से संतुलित है।द्रव्यमान संतुलन समीकरण का विभेदक रूप है:

कहाँ:
𝐶𝑖 = प्रतिक्रियाशील की एकाग्रता 𝑖 स्थिति में 𝑖
𝑥 = रिएक्टर की लंबाई के साथ स्थिति
𝑟 = प्रतिक्रिया दर, जो प्रतिक्रियाशील सांद्रता और कैनेटीक्स पर निर्भर करती है
𝑢 = निरंतर द्रव वेग
इस समीकरण से पता चलता है कि अभिकारक एकाग्रता में परिवर्तन सीधे प्रतिक्रिया की दर और रिएक्टर के माध्यम से चलने वाले द्रव के वेग से संबंधित है।यह पीएफआर के भीतर प्रतिक्रिया कैनेटीक्स का एक सटीक प्रतिनिधित्व प्रदान करता है।इस अंतर समीकरण को हल करने के लिए, रिएक्टर के इनलेट पर सीमा की स्थिति निर्धारित की जाती है, जहां प्रत्येक अभिकारक की प्रारंभिक एकाग्रता ज्ञात है:

एकीकरण इनलेट (𝑥 = 0) से आउटलेट (𝑥 = 𝐿) तक किया जाता है, जहां 𝐿 रिएक्टर की कुल लंबाई है।इस लंबाई में समीकरण को हल करने से प्रत्येक अभिकारक की एकाग्रता प्रोफ़ाइल मिलती है क्योंकि यह रिएक्टर के माध्यम से चलता है।यह एकाग्रता प्रोफ़ाइल बाहर निकलने की सांद्रता और समग्र रिएक्टर प्रदर्शन की भविष्यवाणी की अनुमति देता है, जो डिज़ाइन रिएक्टरों को वांछित उत्पाद उपज और चयनात्मकता को प्राप्त करने में मदद करता है।

एक निरंतर वेग को बनाए रखने से, रिएक्टर यह सुनिश्चित करता है कि सभी द्रव खंडों में लगातार प्रतिक्रिया स्थितियों को प्राप्त करने के लिए समान निवास समय है।औसत निवास समय (𝜏), एक महत्वपूर्ण डिजाइन और ऑपरेशन पैरामीटर, की गणना की जाती है:

यह मान औसत समय का प्रतिनिधित्व करता है जो एक अभिकारक रिएक्टर में खर्च करता है।यह रिएक्टर के प्रदर्शन को ट्यून करने के लिए अच्छा है, विशेष रूप से तेजी से प्रतिक्रियाओं या एक्सपोज़र समय के प्रति संवेदनशील लोगों के लिए।𝜏 को समायोजित करके, आप रूपांतरण दरों और उत्पाद की पैदावार का अनुकूलन कर सकते हैं।
एक प्लग फ्लो रिएक्टर (पीएफआर) में एक प्रथम-क्रम अपरिवर्तनीय प्रतिक्रिया में किसी भी पिछड़े प्रतिक्रिया के बिना एक उत्पाद में एक एकल अभिकारक विघटित होता है।यह प्रतिक्रिया प्रकार रासायनिक इंजीनियरिंग में महत्वपूर्ण है, क्योंकि यह कई अपघटन और आइसोमराइजेशन प्रक्रियाओं को मॉडल करता है।इस उदाहरण में, अभिकारक 𝐴 को उत्पाद में बदल दिया जाता है। प्रथम-क्रम कैनेटीक्स के बाद।यह खंड बताता है कि पीएफआर का डिज़ाइन प्रतिक्रिया की दक्षता और चयनात्मकता को कैसे बढ़ाता है।
एक पीएफआर में, प्रतिक्रिया के रूप में प्रतिनिधित्व किया जाता है:
𝐴 → 𝐵
यह इंगित करता है कि अभिकारक 𝐴 अपरिवर्तनीय रूप से उत्पाद में बदल जाता है, प्रथम-क्रम कैनेटीक्स के अनुसार, जिसका अर्थ है कि प्रतिक्रिया दर सीधे 𝐴 की एकाग्रता के लिए आनुपातिक है।इस सरल मॉडल का व्यापक रूप से औद्योगिक रासायनिक प्रक्रियाओं में उपयोग किया जाता है ताकि सही परिस्थितियों में 𝐵 का पूर्ण रूपांतरण सुनिश्चित किया जा सके।पीएफआर का निरंतर, यूनिडायरेक्शनल फ्लो जिसमें कोई बैक-मिक्सिंग प्रथम-क्रम प्रतिक्रियाओं के लिए एक आदर्श वातावरण प्रदान करता है।अभिकारक का प्रत्येक प्लग रिएक्टर के माध्यम से एक निरंतर वेग पर चलता है, अपनी रासायनिक पहचान बनाए रखता है और समान प्रतिक्रिया स्थितियों का अनुभव करता है।यह स्थिरता उच्च रूपांतरण दक्षता और उत्पाद चयनात्मकता पर सटीक नियंत्रण का समर्थन करती है।एक पीएफआर में प्रथम-क्रम अपरिवर्तनीय प्रतिक्रिया के लिए शासी समीकरण एक अंतर रिएक्टर खंड पर एक द्रव्यमान संतुलन से लिया गया है।यह इस के रूप में व्यक्त किया गया है:

कहाँ:
𝐶𝐴 = प्रतिक्रियाशील की एकाग्रता 𝐴 स्थिति में 𝐴
𝑥 = रिएक्टर की लंबाई के साथ स्थिति
𝑘 = प्रतिक्रिया दर स्थिर, प्रतिक्रिया की गति का संकेत
𝑢 = रिएक्टर के माध्यम से निरंतर द्रव वेग
इस समीकरण से पता चलता है कि रिएक्टर की लंबाई के साथ 𝐴 की एकाग्रता के परिवर्तन की दर पहले-क्रम कैनेटीक्स पर निर्भर करती है, जहां नकारात्मक संकेत 𝐴 की खपत को इंगित करता है।पीएफआर में बैक-मिक्सिंग की अनुपस्थिति यह सुनिश्चित करती है कि प्रत्येक अंतर खंड एक छोटे बैच रिएक्टर की तरह व्यवहार करता है, प्रतिक्रिया के गणितीय मॉडलिंग को सरल बनाता है।रिएक्टर के साथ 𝐴 की एकाग्रता प्रोफ़ाइल को खोजने के लिए, अंतर समीकरण को सीमा स्थिति के साथ एकीकृत किया जाता है कि इनलेट पर प्रारंभिक एकाग्रता ज्ञात है:

अंतर समीकरण का समाधान है:

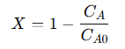
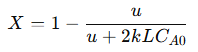
यह समीकरण बताता है कि रिएक्टर के माध्यम से चलने के साथ -साथ 𝐴 की एकाग्रता तेजी से कम हो जाती है।इस घातीय क्षय की दर प्रतिक्रिया दर स्थिरांक (𝑘) और द्रव वेग (𝑢 𝑢) पर निर्भर करती है।यह संबंध दिखाता है कि रिएक्टर डिजाइन पैरामीटर जैसे लंबाई (𝐿), प्रवाह दर और प्रतिक्रिया दर स्थिर, एकाग्रता प्रोफ़ाइल को कैसे प्रभावित करते हैं।उदाहरण के लिए, रिएक्टर की लंबाई बढ़ाने या प्रवाह दर में कमी से अधिक निवास समय मिलता है, जिससे अधिक 𝐴 को 𝐵 में परिवर्तित करने की अनुमति मिलती है।इसके विपरीत, एक उच्च प्रवाह दर संपर्क समय को कम करती है, जिसके परिणामस्वरूप कम रूपांतरण होता है।अभिकारक 𝐴 के समग्र रूपांतरण दक्षता (𝑋) को 𝐴 के अंश के रूप में परिभाषित किया गया है जो रिएक्टर की लंबाई के साथ प्रतिक्रिया करता है:

कहाँ:
𝐿 = रिएक्टर की कुल लंबाई
𝑋 = 𝐴 की रूपांतरण दक्षता
इस समीकरण से पता चलता है कि रिएक्टर की लंबाई (𝐿 𝐿) या दर स्थिर (𝑘 𝑘) में वृद्धि से रूपांतरण दक्षता में सुधार होता है, जबकि एक उच्च द्रव वेग (𝑢) इसे कम करता है।यह सूत्र प्लग फ्लो पैटर्न के लाभ को भी दिखाता है: समान निवास समय यह सुनिश्चित करता है कि सभी अभिकारक प्लग समान प्रतिक्रिया स्थितियों का अनुभव करते हैं, जिससे पूर्वानुमान और सुसंगत रूपांतरण दर होती है।
प्लग फ्लो रिएक्टर (पीएफआर) में एक दूसरे क्रम की अपरिवर्तनीय प्रतिक्रिया में एक प्रतिक्रिया दर शामिल होती है जो अभिकारक की एकाग्रता के वर्ग पर निर्भर करती है।इस प्रकार की प्रतिक्रिया पोलीमराइजेशन और डिमराइजेशन जैसी प्रक्रियाओं में आम है।यह समझना कि कैसे PFRS इन प्रतिक्रियाओं को संभालता है, उच्च रूपांतरण दरों और चयनात्मकता के साथ कुशल रिएक्टरों को डिजाइन करने में मदद करता है।एक पीएफआर में, एक विशिष्ट द्वितीय-क्रम अपरिवर्तनीय प्रतिक्रिया में अभिकारक के दो अणु शामिल होते हैं of एक उत्पाद बनाने के लिए संयोजन 𝐵, के रूप में दर्शाया गया है:
2 ए → बी
यह प्रतिक्रिया अपरिवर्तनीय है, जिसका अर्थ है कि एक बार 𝐵 में परिवर्तित हो जाता है, यह वापस नहीं आता है।पीएफआर का निरंतर, समान प्रवाह पैटर्न रिएक्टर में लगातार वेग और निवास समय को बनाए रखकर इस रूपांतरण को बढ़ाता है।यह डिज़ाइन यह सुनिश्चित करता है कि अभिकारक का प्रत्येक प्लग समान प्रतिक्रिया की स्थिति का अनुभव करता है, रूपांतरण दक्षता को अधिकतम करता है।इस प्रतिक्रिया के लिए शासी समीकरण रिएक्टर के एक छोटे से खंड पर एक द्रव्यमान संतुलन से लिया गया है, जो कोई बैक-मिक्सिंग या रेडियल फैलाव मानता है:

कहाँ:
𝐶𝐴 = प्रतिक्रियाशील की एकाग्रता 𝐴 स्थिति में 𝐴
𝑥 = रिएक्टर की लंबाई के साथ स्थिति
𝑘 = दर स्थिर, प्रतिक्रिया की गति को इंगित करना
𝑢 = निरंतर द्रव वेग
स्टोइकोमेट्री के लिए 2 खातों का कारक, जहां 𝐴 के दो मोल को 𝐵 का एक तिल बनाने के लिए सेवन किया जाता है।
इस समीकरण से पता चलता है कि 𝐴 के एकाग्रता के परिवर्तन की दर इसकी वर्तमान एकाग्रता के वर्ग के लिए आनुपातिक है, दूसरे क्रम के कैनेटीक्स की एक बानगी।यह 𝐴 में तेजी से कमी की ओर जाता है क्योंकि प्रतिक्रिया बढ़ती है, विशेष रूप से उच्च सांद्रता पर।रिएक्टर के साथ 𝐴 की एकाग्रता प्रोफ़ाइल को खोजने के लिए, अंतर समीकरण इनलेट से एकीकृत होता है, जहां प्रारंभिक एकाग्रता 𝐶𝐴0 है, रिएक्टर के साथ किसी भी बिंदु पर::

इस समाधान से पता चलता है कि प्रथम-क्रम प्रतिक्रियाओं में देखे गए घातीय क्षय के विपरीत, 𝐴 की एकाग्रता हाइपरबोलिक रूप से घट जाती है।इस गिरावट की दर प्रतिक्रिया दर स्थिर (𝑘), रिएक्टर लंबाई (𝑥 𝑥), और द्रव वेग (𝑢) पर निर्भर करती है।यह संबंध अभिकारक एकाग्रता और समग्र रूपांतरण दक्षता पर परिचालन मापदंडों के प्रभाव पर जोर देता है।उदाहरण के लिए:
• रिएक्टर की लंबाई (𝑥 𝑥) या दर स्थिर (𝑘) बढ़ने से अधिक समय प्रदान करके या प्रतिक्रिया को तेज करके रूपांतरण बढ़ाता है।
• उच्च द्रव वेग (𝑢) निवास समय को कम करता है, जिससे कम रूपांतरण होता है।
यह मॉडल यह अनुमान लगाने में मदद करता है कि रिएक्टर डिजाइन और ऑपरेटिंग स्थितियों में समायोजन उत्पाद की उपज और चयनात्मकता को कैसे प्रभावित करते हैं।
रिएक्टर 𝐴 के समग्र रूपांतरण दक्षता (𝑋) की गणना रिएक्टर की लंबाई के साथ उत्पाद में परिवर्तित 𝐴 के अंश के रूप में की जाती है:

एकीकृत एकाग्रता प्रोफ़ाइल को प्रतिस्थापित करना देता है:

कहाँ:
𝐿 = रिएक्टर की कुल लंबाई
𝐶𝐴0 = 𝐴 की प्रारंभिक एकाग्रता
𝑋 = 𝐴 की रूपांतरण दक्षता
इस समीकरण से पता चलता है कि रूपांतरण दक्षता के साथ बढ़ता है:
• लंबी रिएक्टर लंबाई (𝐿), जो निवास समय को बढ़ाती है।
• उच्च प्रारंभिक एकाग्रता (𝐶𝐴0), जो प्रतिक्रिया दर को बढ़ाता है।
• बड़ी दर स्थिर (𝑘), जो प्रतिक्रिया को गति देती है।
इसके विपरीत, उच्च द्रव वेग (𝑢 𝑢) रिएक्टर में खर्च करने वाले अभिकारकों द्वारा खर्च किए गए समय को कम करके रूपांतरण को कम कर देता है।ये अंतर्दृष्टि प्रवाह दरों, रिएक्टर की लंबाई और ऑपरेटिंग तापमान (जो 𝑘 को प्रभावित करती है) को समायोजित करके रिएक्टर प्रदर्शन को अनुकूलित करने की अनुमति देती हैं।
रिएक्टेंट कचरे को कम करते हुए उत्पाद की उपज को अधिकतम करने के लिए दूसरे क्रम के अपरिवर्तनीय प्रतिक्रिया व्यवहार की समझ प्लग फ्लो रिएक्टरों (पीएफआर) को अधिकतम करने के लिए अच्छी है।चूंकि दूसरे क्रम के कैनेटीक्स में प्रतिक्रिया दर दो अभिकारकों की एकाग्रता पर निर्भर करती है, इसलिए रिएक्टर मापदंडों का अनुकूलन समग्र रूपांतरण दक्षता को प्रभावित कर सकता है।रूपांतरण को प्रभावित करने वाला एक प्रमुख कारक पीएफआर की लंबाई का विस्तार करके रिएक्टर की लंबाई है, अभिकारकों के पास एक लंबा निवास समय होता है, जिससे प्रतिक्रिया को सिस्टम से बाहर निकलने से पहले आगे बढ़ने की दिशा में आगे बढ़ने की अनुमति मिलती है।इसी तरह, प्रवाह दर में कमी से निवास का समय बढ़ जाता है, जिससे अभिकारकों को बातचीत करने और वांछित उत्पादों को बनाने के लिए अधिक अवसर मिलते हैं।एक अन्य पैरामीटर तापमान है, जो सीधे प्रतिक्रिया दर स्थिर (𝑘) को प्रभावित करता है।तापमान में वृद्धि से दर स्थिर हो जाती है, जिससे प्रतिक्रिया में तेजी आती है और रूपांतरण दक्षता में सुधार होता है।हालांकि, आपको अवांछित पक्ष प्रतिक्रियाओं या संवेदनशील यौगिकों के थर्मल गिरावट से बचने के लिए तापमान समायोजन को ध्यान से संतुलित करना चाहिए।ये सिद्धांत प्रतिक्रिया की स्थिति पर सटीक नियंत्रण के लिए अनुमति देते हैं, जिससे उद्योगों को विशिष्ट उत्पादन लक्ष्यों के लिए पीएफआर संचालन को ठीक करने में सक्षम बनाता है।
सटीकता के साथ दूसरे क्रम की प्रतिक्रिया कैनेटीक्स को नियंत्रित करने की क्षमता उद्योगों में लाभप्रद है जहां उत्पाद की गुणवत्ता, स्थिरता और दक्षता महान हैं।उदाहरण के लिए, पोलीमराइजेशन प्रक्रियाओं में, रिएक्टर में इष्टतम मोनोमर सांद्रता बनाए रखना सुनिश्चित करता है कि पॉलिमर लगातार आणविक भार वितरण और वांछनीय भौतिक गुणों को प्राप्त करते हैं।यहां तक कि एकाग्रता या प्रतिक्रिया की स्थिति में मामूली बदलाव भी बहुलक संरचना में विसंगतियों को जन्म दे सकते हैं, जिससे सामग्री की शक्ति, लोच या स्थायित्व को प्रभावित किया जा सकता है।इसी तरह, ठीक रासायनिक और दवा निर्माण में, प्रतिक्रिया चयनात्मकता और शुद्धता उत्पाद प्रभावशीलता और सुरक्षा सुनिश्चित करने के लिए महान हैं।
स्थिर-राज्य स्थितियों के तहत एक प्लग फ्लो रिएक्टर (पीएफआर) में द्रव्यमान संतुलन का विश्लेषण करना इसकी दक्षता को समझने और विभिन्न रासायनिक प्रक्रियाओं में प्रदर्शन का अनुकूलन करने के लिए अच्छा है।एक पीएफआर में, अभिकारक लगातार और समान रूप से इनलेट से आउटलेट तक बैक-मिक्सिंग या रेडियल फैलाव के बिना इनलेट तक प्रवाहित होते हैं।यह सुसंगत प्रवाह पैटर्न अभिकारक सांद्रता और प्रतिक्रिया दरों पर सटीक नियंत्रण की अनुमति देता है, जिससे पीएफआर जटिल रासायनिक प्रतिक्रियाओं के लिए अत्यधिक प्रभावी हो जाता है।
एक प्लग फ्लो रिएक्टर (पीएफआर) में, अभिकारकों का आंदोलन एक स्थिर, एकतरफा पथ का अनुसरण करता है, यह सुनिश्चित करता है कि प्रत्येक व्यक्तिगत द्रव तत्व अपनी रासायनिक पहचान और प्रतिक्रिया इतिहास को बरकरार रखता है क्योंकि यह रिएक्टर के माध्यम से आगे बढ़ता है।मिक्सिंग को बढ़ावा देने वाले रिएक्टरों के विपरीत, जैसे कि निरंतर हलचल-टैंक रिएक्टरों (CSTRS), एक PFR इस सिद्धांत के तहत संचालित होता है कि द्रव का प्रत्येक खंड अलग रहता है, आसन्न खंडों के साथ पार्श्व मिश्रण को रोकता है।इस विशेषता का अर्थ है कि प्रतिक्रियाशील सांद्रता और प्रतिक्रिया विस्तार से रिएक्टर की लंबाई के साथ लगातार भिन्न होते हैं, न कि अशांत मिश्रण के माध्यम से औसत होने के बजाय।इस प्लग-जैसे आंदोलन के कारण, रिएक्टर रिएक्टर में हर बिंदु पर अच्छी तरह से परिभाषित परिस्थितियों में प्रतिक्रिया से गुजरता है, जिससे अभिकारकों से उत्पादों तक अधिक नियंत्रित और अनुमानित परिवर्तन की अनुमति मिलती है।रिएक्टर की लंबाई के साथ परिणामी एकाग्रता और तापमान ग्रेडिएंट प्रतिक्रिया कैनेटीक्स और प्रक्रिया की समग्र दक्षता को नियंत्रित करने में एक भूमिका निभाते हैं।
एक पीएफआर में प्रवाह की समान और अनुमानित प्रकृति अलग -अलग फायदे प्रदान करती है, विशेष रूप से उन प्रतिक्रियाओं के लिए जो एकाग्रता या तापमान में उतार -चढ़ाव के प्रति अत्यधिक संवेदनशील हैं।बैक-मिक्सिंग को समाप्त करके, रिएक्टर यह सुनिश्चित करता है कि प्रत्येक अभिकारक अणु के लिए निवास का समय सटीक रूप से नियंत्रित किया जाता है, जिससे प्रतिक्रिया प्रगति और उत्पाद गठन की अधिक सटीक भविष्यवाणियों की अनुमति मिलती है।यह सुविधा उत्पाद चयनात्मकता को अनुकूलित करने में उपयोगी है, क्योंकि कुछ प्रतिक्रियाएं विशिष्ट स्थितियों का पक्ष ले सकती हैं जिन्हें रिएक्टर की लंबाई में सावधानीपूर्वक बनाए रखा जा सकता है।आंतरिक मिश्रण की अनुपस्थिति गणितीय मॉडलिंग को सरल बनाती है, जिससे अधिकतम दक्षता के लिए गतिज मॉडल और डिजाइन रिएक्टरों को विकसित करना आसान हो जाता है।प्रतिक्रिया इंजीनियरिंग के लिए यह सुव्यवस्थित दृष्टिकोण न केवल प्रदर्शन को बढ़ाता है, बल्कि औद्योगिक अनुप्रयोगों के लिए प्रक्रियाओं को बढ़ाने से जुड़ी जटिलता को भी कम करता है।
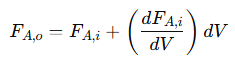
एक पीएफआर के लिए द्रव्यमान संतुलन समीकरण रिएक्टर के एक छोटे अंतर मात्रा (𝑑𝑉) का विश्लेषण करके लिया गया है।यह दृष्टिकोण इस वॉल्यूम के साथ और बाहर, प्रतिक्रियाशील 𝐴 के प्रवाह के साथ -साथ उस दर पर विचार करता है, जिस पर यह प्रतिक्रिया करता है।स्थिर-राज्य स्थितियों के तहत, 𝑑𝑉 के भीतर 𝐴 का कोई संचय नहीं होता है, जिसका अर्थ है कि प्रवाह दर प्रतिक्रिया द्वारा खपत की गई राशि के लिए समायोजित बहिर्वाह दर के बराबर होती है।सामान्य द्रव्यमान संतुलन समीकरण है:

कहाँ:
𝐹𝐴, 𝑖 = रिएक्टेंट की दाढ़ प्रवाह दर 𝐴 अंतर मात्रा में प्रवेश करना
𝐹𝐴, 𝑜 = अंतर की मात्रा को छोड़ने के मोलर प्रवाह दर
𝑟 𝑟 𝑟 𝑟 𝑟 = प्रतिक्रिया दर प्रति यूनिट मात्रा 𝐴 के लिए
𝑑𝑉 = विभेदक मात्रा तत्व
इस समीकरण से पता चलता है कि 𝐴 की प्रवाह दर में कमी मात्रा 𝑑𝑉 के भीतर इसकी खपत के कारण है।चूंकि कोई बैक-मिक्सिंग नहीं है, इसलिए अभिकारक का प्रत्येक प्लग अपनी एकाग्रता को बरकरार रखता है क्योंकि यह आगे बढ़ता है, प्लग फ्लो पैटर्न को बनाए रखता है।
इनलेट प्रवाह दर से आउटलेट दाढ़ प्रवाह दर से संबंधित होने के लिए, निरंतरता समीकरण का उपयोग किया जाता है:

इसे मास बैलेंस समीकरण में प्रतिस्थापित करना देता है:

इससे पता चलता है कि 𝐴 के दाढ़ प्रवाह दर में परिवर्तन प्रतिक्रिया दर के सीधे आनुपातिक है।नकारात्मक संकेत 𝐴 की खपत को इंगित करता है क्योंकि यह उत्पादों में परिवर्तित हो जाता है।यह संबंध इस बात पर प्रकाश डालता है कि प्रतिक्रिया दर रिएक्टर की लंबाई के साथ 𝐴 की एकाग्रता प्रोफ़ाइल को कैसे प्रभावित करती है।रिएक्टर की लंबाई के साथ इस अंतर समीकरण को एकीकृत करना 𝐴 की प्रतिक्रिया दर के लिए सामान्य अभिव्यक्ति प्रदान करता है:

इससे पता चलता है कि प्रतिक्रिया दर रिएक्टर के साथ 𝐴 के दाढ़ प्रवाह दर में परिवर्तन के लिए आनुपातिक है।नकारात्मक संकेत 𝐴 में कमी को दर्शाता है क्योंकि यह उत्पादों को बनाने के लिए प्रतिक्रिया करता है।मास बैलेंस समीकरण का यह एकीकृत रूप रिएक्टर में 𝐴 के एकाग्रता प्रोफ़ाइल की गणना करने की अनुमति देता है, जिससे उत्पाद पैदावार और समग्र रूपांतरण दक्षता की सटीक भविष्यवाणियां सक्षम होती हैं।
अधिक जटिल प्रतिक्रियाओं के लिए, जैसे कि एक द्विध्रुवीय प्रतिक्रिया 𝐴+→ → 𝐶+𝐷, द्रव्यमान संतुलन समीकरणों को सभी अभिकारकों और उत्पादों के लिए खाते में बढ़ाया जा सकता है।प्रत्येक प्रजाति के लिए, अंतर समीकरण हैं:
• अभिकारक के लिए 𝐴:

• अभिकारक के लिए 𝐵:

• उत्पाद के लिए 𝐶:

• उत्पाद के लिए 𝐷:

नकारात्मक संकेत अभिकारकों की खपत का संकेत देते हैं, जबकि सकारात्मक संकेत उत्पादों के गठन को दर्शाते हैं।ये समीकरण जटिल प्रतिक्रिया नेटवर्क के लिए एक पूर्ण द्रव्यमान संतुलन प्रदान करते हैं, जिससे प्रतिक्रिया कैनेटीक्स और उत्पाद वितरण के सटीक मॉडलिंग की अनुमति मिलती है।
एक प्लग फ्लो रिएक्टर (पीएफआर) में, कोई भी वॉल्यूमेट्रिक प्रवाह भिन्नता मानते हुए रासायनिक प्रतिक्रियाओं के गणितीय मॉडलिंग को सरल करता है।यह धारणा निरंतर तापमान और दबाव (इज़ोटेर्मल और आइसोबैरिक स्थितियों) के तहत गैस-चरण प्रतिक्रियाओं के लिए उपयोगी है और तरल-चरण प्रतिक्रियाओं के लिए जहां द्रव घनत्व स्थिर रहता है।रिएक्टर में एक स्थिर प्रवाह दर बनाए रखने से, प्रतिक्रिया कैनेटीक्स, रूपांतरण दक्षता और उत्पाद वितरण के लिए गणना अधिक सीधा और विश्वसनीय हो जाती है।
यह मानते हुए कि पीएफआर में वॉल्यूमेट्रिक प्रवाह दर (𝑄) स्थिर रहता है, रासायनिक प्रतिक्रियाओं के विश्लेषण को सरल करता है।यह निरंतर प्रवाह यह सुनिश्चित करता है कि द्रव वेग पूरे रिएक्टर की लंबाई के साथ समान है, जिससे सभी द्रव तत्वों के लिए लगातार निवास समय होता है।यह एकरूपता प्लग फ्लो पैटर्न को बनाए रखने के लिए अच्छी है, जहां तरल पदार्थ का प्रत्येक खंड एक पिस्टन की तरह आगे बढ़ता है, बिना बैक-मिक्सिंग या रेडियल फैलाव के।
यह स्थिर प्रवाह पैटर्न यह सुनिश्चित करता है कि अभिकारक सांद्रता में परिवर्तन केवल अक्षीय दिशा में होते हैं, कुशलता से रासायनिक प्रतिक्रिया को आगे बढ़ाते हैं।यह प्रत्येक द्रव खंड की रासायनिक पहचान को भी संरक्षित करता है, जिससे प्रतिक्रिया की स्थिति और कैनेटीक्स पर सटीक नियंत्रण की अनुमति मिलती है।यह सटीक निवास समय और तापमान नियंत्रण की आवश्यकता वाली प्रतिक्रियाओं के लिए फायदेमंद है।निरंतर वॉल्यूमेट्रिक प्रवाह की धारणा के तहत, रिएक्टर में किसी भी बिंदु पर प्रवाह दर इनलेट से आउटलेट तक समान रहती है:
Q i = qo = q
इस स्थिर-राज्य की स्थिति का मतलब है कि प्रवाह पैरामीटर रिएक्टर की लंबाई के अनुरूप हैं, जो द्रव्यमान संतुलन समीकरण को सरल बनाता है।यह विश्लेषण को वेग या मात्रा में भिन्नता पर विचार किए बिना मोलर प्रवाह दरों और अभिकारकों और उत्पादों के एकाग्रता परिवर्तनों पर ध्यान केंद्रित करने की अनुमति देता है।रिएक्टर के साथ किसी भी स्थिति में एक अभिकारक की दाढ़ प्रवाह दर 𝐴 द्वारा दी गई है:

कहाँ:
𝐹𝐴, 𝑖 = अंतर मात्रा तत्व में प्रवेश करने के मोलर प्रवाह दर 𝑑𝑉
[ए] मैं = स्थिति में 𝐴 की एकाग्रता 𝑥
𝑄 = निरंतर वॉल्यूमेट्रिक प्रवाह दर
यह समीकरण प्रतिक्रियाशील 𝐴 के दाढ़ प्रवाह दर को इसकी एकाग्रता और वॉल्यूमेट्रिक प्रवाह दर से जोड़ता है।क्योंकि 𝑄 स्थिर है, 𝐹𝐴 में परिवर्तन, 𝑖 में सीधे [𝐴] 𝑖 में परिवर्तन से संबंधित हैं।अभिकारक 𝐴 के लिए प्रतिक्रिया दर, 𝑟, द्वारा निरूपित की गई, उस दर का वर्णन करती है जिस पर 𝐴 रिएक्टर की लंबाई के साथ खपत की जाती है।मोलर प्रवाह दर में अंतर परिवर्तन का उपयोग करके इसकी गणना की जाती है:

नकारात्मक संकेत अभिकारक की खपत को इंगित करता है। क्योंकि यह उत्पादों में बदल जाता है।इस संबंध से पता चलता है कि प्रतिक्रिया दर रिएक्टर के साथ एकाग्रता ढाल के लिए सीधे आनुपातिक है।क्योंकि 𝑄 स्थिर है, एकाग्रता केवल अक्षीय दिशा में बदलती है, यह सुनिश्चित करती है कि प्रतिक्रिया इनलेट से आउटलेट तक सुचारू रूप से आगे बढ़ती है।यह यूनिडायरेक्शनल फ्लो पैटर्न लगातार प्रतिक्रिया की स्थिति को बनाए रखने में मदद करता है, जिससे पूर्वानुमानित उत्पाद पैदावार और उच्च रूपांतरण दक्षता होती है।रिएक्टर की लंबाई के साथ इस अंतर समीकरण को एकीकृत करके, यह गणना करना संभव है कि int की एकाग्रता int की एकाग्रता इनलेट से आउटलेट में कैसे बदलती है:

यह एकीकरण रिएक्टर के साथ 𝐴 का एक एकाग्रता प्रोफ़ाइल प्रदान करता है, यह बताता है कि कितना अभिकारक का सेवन किया जाता है और कितना उत्पाद बनता है।यह रूपांतरण दक्षता और उत्पाद वितरण पर लंबाई, प्रवाह दर और प्रतिक्रिया दर जैसे रिएक्टर डिजाइन मापदंडों के प्रभाव को भी दर्शाता है।गणितीय मॉडल को सरल रखने का अर्थ है कम चर, गणना को आसान और सिमुलेशन तेजी से बनाना।सटीक एकाग्रता भविष्यवाणियां अधिकतम दक्षता और चयनात्मकता के लिए डिजाइन रिएक्टरों की मदद करती हैं, इष्टतम प्रदर्शन सुनिश्चित करती हैं।लगातार निवास समय और प्रवाह दर सटीक प्रक्रिया नियंत्रण के लिए अनुमति देते हैं, जिससे विश्वसनीय उत्पाद गुणवत्ता होती है।कुल मिलाकर, पीएफआर में कोई वॉल्यूमेट्रिक प्रवाह भिन्नता नहीं मानते हुए सटीकता को बनाए रखते हुए रासायनिक प्रतिक्रिया मॉडलिंग को सरल बनाता है, जिससे यह कुशल रिएक्टर डिजाइन और संचालन के लिए एक महत्वपूर्ण उपकरण बन जाता है।
प्लग फ्लो रिएक्टरों (पीएफआर) का व्यापक रूप से उनके अद्वितीय डिजाइन के कारण रासायनिक प्रसंस्करण में उपयोग किया जाता है, जो अभिकारकों के निरंतर और समान आंदोलन को सुनिश्चित करता है।यह डिजाइन प्रतिक्रिया कैनेटीक्स और निवास समय पर सटीक नियंत्रण की अनुमति देता है, जिससे कई रासायनिक प्रक्रियाओं के लिए पीएफआर अत्यधिक कुशल हो जाता है।हालांकि, उनके पास ऐसी सीमाएँ भी हैं जिन्हें आवेदन के आधार पर माना जाना चाहिए।यह खंड PFRs के फायदे और नुकसान की जांच करता है।
प्लग फ्लो रिएक्टरों (पीएफआर) को उनकी उच्च रूपांतरण दक्षता के लिए जाना जाता है, जिसके परिणामस्वरूप उनकी अद्वितीय प्रवाह विशेषताओं के परिणामस्वरूप होते हैं।अन्य रिएक्टर प्रकारों के विपरीत, पीएफआर यह सुनिश्चित करते हैं कि अभिकारक बिना किसी बैक-मिक्सिंग के एक ही दिशा में चलते हैं।इसका मतलब यह है कि एक बार एक द्रव तत्व रिएक्टर में प्रवेश करने के बाद, यह द्रव के अन्य भागों के साथ सम्मिश्रण के बिना आगे बढ़ता रहता है।इस नियंत्रित आंदोलन के कारण, रिएक्टर में किसी भी बिंदु पर रासायनिक संरचना अलग और अनुमानित है।इस स्थिर प्रवाह का एक बड़ा लाभ यह है कि यह निवास समय वितरण को कम करता है, जिसका अर्थ है कि सभी अभिकारक कण रिएक्टर के अंदर एक समान समय बिताते हैं।नतीजतन, प्रतिक्रिया रिएक्टर की पूरी लंबाई में समान रूप से होती है, दक्षता में सुधार करती है और उन प्रक्रियाओं के लिए पीएफआर को उपयोगी बनाती है जिन्हें प्रतिक्रिया की स्थिति पर सख्त नियंत्रण की आवश्यकता होती है।
पीएफआर की उच्च रूपांतरण दक्षता का एक और कारण रिएक्टर में एक स्थिर एकाग्रता ढाल बनाए रखने की उनकी क्षमता है।चूंकि रिएक्टर के माध्यम से प्रगति के रूप में अभिकारकों का लगातार उपभोग किया जाता है, इसलिए एकाग्रता धीरे -धीरे प्रवाह पथ के साथ कम हो जाती है, जो ड्राइव प्रतिक्रियाओं को अधिक प्रभावी ढंग से पूरा करने में मदद कर सकती है।यह PFRS निरंतर हलचल टैंक रिएक्टरों (CSTRS) की तुलना में अधिक कुशल बनाता है, जहां निरंतर मिश्रण एकाग्रता में भिन्नता पैदा कर सकता है जो प्रतिक्रिया दक्षता को कम कर सकता है।उन प्रतिक्रियाओं के लिए जो एकाग्रता परिवर्तन के प्रति अत्यधिक संवेदनशील हैं या सटीक समय की आवश्यकता होती है, पीएफआर एक लाभ प्रदान करते हैं।एक समान प्रतिक्रिया वातावरण सुनिश्चित करके, वे प्रतिक्रिया दरों को अनुकूलित करने में मदद करते हैं, अवांछित बायप्रोडक्ट्स को कम करते हैं, और उत्पाद की उपज को अधिकतम करते हैं।
प्लग फ्लो रिएक्टरों (पीएफआर) में संरचित प्रवाह यह सुनिश्चित करता है कि रिएक्टर के माध्यम से रिएक्टेंट लगातार समान प्रतिक्रिया स्थितियों के संपर्क में हैं।यह स्थिर और एक समान एक्सपोज़र अवांछित उप-उत्पादों के गठन को कम करने में एक भूमिका निभाता है, जो प्रतिक्रिया की दक्षता को नकारात्मक रूप से प्रभावित कर सकता है।इन अवांछनीय पक्ष प्रतिक्रियाओं को कम करके, पीएफआर प्रतिक्रिया की समग्र चयनात्मकता में सुधार करने में मदद करते हैं, जिससे उन्हें रासायनिक प्रक्रियाओं के लिए उपयोगी हो जाता है जिन्हें उच्च परिशुद्धता की आवश्यकता होती है।यह उन उद्योगों में महत्वपूर्ण है जहां रासायनिक संरचना में छोटे बदलाव भी उत्पाद प्रदर्शन में अंतर पैदा कर सकते हैं, जैसे कि विशेष रसायनों और दवा उत्पादों के निर्माण में।क्योंकि अभिकारक का प्रत्येक प्लग एक ही वेग पर चलता है और समान प्रतिक्रिया की स्थिति का अनुभव करता है, प्रतिक्रिया एक नियंत्रित और पूर्वानुमानित तरीके से आगे बढ़ती है।स्थिरता का यह स्तर यह सुनिश्चित करता है कि वांछित रासायनिक परिवर्तन का इरादा होता है, जिसके परिणामस्वरूप अतिरिक्त शुद्धि चरणों की आवश्यकता को कम करते हुए लक्ष्य उत्पाद की अधिक उपज होती है।
एक समान प्रतिक्रिया वातावरण प्रदान करने के लिए पीएफआर की क्षमता सीधे उत्पाद की स्थिरता और बेहतर प्रतिक्रिया दक्षता में वृद्धि में योगदान देती है।चूंकि अभिकारक धारा का प्रत्येक भाग एक ही मार्ग का अनुसरण करता है और समान प्रतिक्रिया की स्थिति से गुजरता है, अंतिम उत्पाद विश्वसनीय और दोहराने योग्य विशेषताओं को प्रदर्शित करता है।यह उन प्रक्रियाओं के लिए फायदेमंद है जहां सख्त गुणवत्ता नियंत्रण बनाए रखना महत्वपूर्ण है, क्योंकि तापमान, दबाव, या प्रतिक्रियाशील एकाग्रता में मामूली बदलाव भी अंतिम परिणाम को बदल सकते हैं।पीएफआर में चयनात्मकता की उच्च डिग्री उन्हें उन प्रतिक्रियाओं के लिए आदर्श बनाती है जिसमें संवेदनशील मध्यवर्ती प्रजातियां शामिल होती हैं, जहां प्रतिक्रिया कैनेटीक्स पर सटीक नियंत्रण आवश्यक है।इसके अतिरिक्त, क्योंकि पीएफआर एक निरंतर प्रवाह के साथ काम करते हैं, उन्हें प्रतिक्रिया दक्षता से समझौता किए बिना औद्योगिक अनुप्रयोगों के लिए आसानी से बढ़ाया जा सकता है।यह स्केलेबिलिटी, प्रतिक्रिया चयनात्मकता को बढ़ाने की उनकी क्षमता के साथ संयुक्त है, पीएफआर को कई रासायनिक उत्पादन प्रक्रियाओं के लिए एक पसंदीदा विकल्प बनाता है, विभिन्न प्रकार के अनुप्रयोगों में एक सुसंगत, उच्च-गुणवत्ता वाले आउटपुट को सुनिश्चित करता है।
प्लग फ्लो रिएक्टर (पीएफआर) एक निरंतर तरीके से काम करते हैं, जिसका अर्थ है कि उन्हें रुकने और बार -बार पुनरारंभ करने की आवश्यकता नहीं है।यह निरंतर ऑपरेशन डाउनटाइम को कम करता है, उच्च उत्पादन दरों और रासायनिक प्रसंस्करण में बेहतर दक्षता के लिए अनुमति देता है।चूंकि पीएफआर को यांत्रिक आंदोलन की आवश्यकता नहीं होती है, इसलिए वे अन्य रिएक्टर प्रकारों की तुलना में कम ऊर्जा का उपभोग करते हैं जो प्रतिक्रियाशीलों को मिलाने के लिए चलती भागों पर निर्भर करते हैं।कम ऊर्जा की खपत कम परिचालन लागतों में अनुवाद करती है, जिससे पीएफआर बड़े पैमाने पर उत्पादन के लिए लागत प्रभावी विकल्प बन जाता है।स्थिर-राज्य संचालन को बनाए रखने की उनकी क्षमता यह सुनिश्चित करती है कि रासायनिक प्रतिक्रियाएं एक पूर्वानुमेय तरीके से आगे बढ़ती हैं, जो स्थिरता की प्रक्रिया में योगदान करती है।चलती घटकों की अनुपस्थिति भी रखरखाव की जरूरतों को कम करती है, अप्रत्याशित टूटने को कम करती है और समग्र विश्वसनीयता को बढ़ाती है।इन फायदों के कारण, पीएफआर का व्यापक रूप से उन उद्योगों में उपयोग किया जाता है जिन्हें ऊर्जा उपयोग और परिचालन लागत को यथासंभव कम रखते हुए लगातार, उच्च-थ्रूपुट रासायनिक प्रसंस्करण की आवश्यकता होती है।
पीएफआर का एक और बड़ा लाभ प्रयोगशाला प्रयोगों से पूर्ण औद्योगिक उत्पादन तक स्केलिंग में आसानी है।चूंकि प्रतिक्रिया की स्थिति रिएक्टर की पूरी लंबाई के साथ समान रहती है, इसलिए उत्पादन क्षमता में वृद्धि को रिएक्टर की लंबाई का विस्तार करके या कई समानांतर ट्यूबों का उपयोग करके प्राप्त किया जा सकता है।यह स्केलेबिलिटी यह सुनिश्चित करती है कि रासायनिक निर्माता रिएक्टर डिजाइन में प्रमुख संशोधनों के बिना अपने संचालन का विस्तार कर सकते हैं।एक पीएफआर के भीतर अनुमानित प्रवाह पैटर्न भी प्रतिक्रिया चर को नियंत्रित करना आसान बनाता है, विभिन्न उत्पादन पैमानों में लगातार उत्पाद की गुणवत्ता सुनिश्चित करता है।क्योंकि अभिकारकों का प्रत्येक भाग रिएक्टर के माध्यम से बैक-मिक्सिंग के बिना चलता है, प्रतिक्रिया प्रक्रिया स्थिर और समान रहती है।यह सुविधा प्रक्रिया अनुकूलन को सरल करती है और प्रतिक्रिया दक्षता पर बेहतर नियंत्रण के लिए अनुमति देती है।नतीजतन, ऐसे उद्योग जिन्हें रासायनिक प्रतिक्रियाओं पर सटीक नियंत्रण की आवश्यकता होती है, अक्सर छोटे और बड़े दोनों पैमानों पर स्थिरता और विश्वसनीयता बनाए रखने की उनकी क्षमता के लिए पीएफआर चुनते हैं।
प्लग फ्लो डिज़ाइन गर्मी और द्रव्यमान को कुशलता से स्थानांतरित करने में मदद करता है, जो प्रतिक्रियाओं को स्थिर रखता है, विशेष रूप से उन प्रक्रियाओं में जो बहुत अधिक गर्मी को छोड़ते हैं या अवशोषित करते हैं।क्योंकि कोई बैक-मिक्सिंग नहीं है, रिएक्टर के माध्यम से समान रूप से गर्मी फैलती है, उन क्षेत्रों को रोकती है जो बहुत गर्म या बहुत ठंडे हैं।यह भी गर्मी वितरण प्रतिक्रिया दर को स्थिर रखता है और अच्छी उत्पाद की गुणवत्ता को बनाए रखता है।यदि गर्मी असमान थी, तो यह धीमी प्रतिक्रियाओं या अवांछित साइड उत्पादों जैसी समस्याओं का कारण बन सकता है।तापमान को स्थिर रखने से, प्लग फ्लो डिज़ाइन भी सुरक्षा में सुधार करता है, प्रतिक्रियाओं में खतरनाक ओवरहीटिंग के जोखिम को कम करता है जो बहुत अधिक गर्मी जारी करता है।चूंकि प्रतिक्रिया नियंत्रण में रहती है, इसलिए यह अधिक सुचारू रूप से और कुशलता से चलता है, जिससे बेहतर परिणाम होते हैं।यह डिज़ाइन यह भी सुनिश्चित करता है कि प्रतिक्रिया एक स्थिर और अनुमानित पथ का अनुसरण करती है, जो दक्षता में सुधार करती है और उत्पाद को शुद्ध रखती है।जैसा कि अभिकारक रिएक्टर के माध्यम से चलते हैं, वे सभी अन्य भागों के साथ मिश्रण के बिना एक ही स्थिति से गुजरते हैं।यह प्रक्रिया पर बेहतर नियंत्रण के लिए अनुमति देता है और यह सुनिश्चित करता है कि प्रतिक्रिया उम्मीद के मुताबिक होती है।इस वजह से, कम अवांछित बायप्रोडक्ट्स फॉर्म, और अधिक वांछित उत्पाद बनाया जाता है।प्लग फ्लो डिज़ाइन की गर्मी को अच्छी तरह से स्थानांतरित करने, स्थिर तापमान बनाए रखने और प्रतिक्रियाओं को नियंत्रित रखने की क्षमता यह औद्योगिक प्रक्रियाओं के लिए बहुत उपयोगी बनाती है जहां गुणवत्ता और दक्षता महत्वपूर्ण हैं।
प्लग फ्लो रिएक्टर (पीएफआर) बहुत उपयोगी हैं क्योंकि वे कई अलग -अलग प्रकार की रासायनिक प्रतिक्रियाओं को संभाल सकते हैं।वे तेजी से प्रतिक्रियाओं, अपरिवर्तनीय प्रतिक्रियाओं और गैस-चरण प्रतिक्रियाओं के लिए अच्छी तरह से काम करते हैं क्योंकि अभिकारक एक स्थिर प्रवाह में रिएक्टर के माध्यम से आसानी से चलते हैं।PFRs उन प्रतिक्रियाओं के लिए भी महान हैं जो ठोस उत्प्रेरक का उपयोग करते हैं, क्योंकि यहां तक कि प्रवाह सुनिश्चित करता है कि सभी अभिकारकों को उत्प्रेरक के समान जोखिम मिलता है।यह रासायनिक प्रतिक्रियाओं को अधिक कुशलता से होने में मदद करता है और अधिक सुसंगत परिणाम देता है।इन फायदों के कारण, PFRs का उपयोग पेट्रोकेमिकल्स और फार्मास्यूटिकल्स जैसे उद्योगों में व्यापक रूप से किया जाता है, जहां उच्च गुणवत्ता वाले उत्पाद बनाने के लिए प्रतिक्रियाओं पर सटीक नियंत्रण की आवश्यकता होती है।प्रतिक्रियाओं को स्थिर और कुशल रखने की उनकी क्षमता उन्हें कई रासायनिक प्रक्रियाओं के लिए एक महत्वपूर्ण उपकरण बनाती है।PFRS पॉलिमर बनाने में भी बहुत मददगार हैं क्योंकि वे मोनोमर सांद्रता को पूरी प्रतिक्रिया के दौरान स्थिर रखते हैं।यह एक समान गुणों के साथ पॉलिमर का उत्पादन करने के लिए महत्वपूर्ण है, जैसे कि लगातार शक्ति और स्थायित्व।एक पीएफआर में चिकनी प्रवाह एकाग्रता और प्रतिक्रिया समय में भिन्नता को कम करता है, जिससे एक अधिक विश्वसनीय अंतिम उत्पाद होता है।चूंकि पीएफआर लगातार काम करते हैं, वे बैच रिएक्टरों की तुलना में समय बचा सकते हैं और दक्षता में सुधार कर सकते हैं।सटीकता और विश्वसनीयता के साथ विभिन्न प्रतिक्रियाओं को संभालने की उनकी क्षमता उन्हें कई उद्योगों में मूल्यवान बनाती है।चाहे कैटालिसिस, गैस-चरण प्रतिक्रियाओं, या बहुलक उत्पादन के लिए उपयोग किया जाता है, पीएफआर रासायनिक प्रतिक्रियाओं को नियंत्रित करने और उत्पाद की गुणवत्ता को बनाए रखने के लिए एक भरोसेमंद और कुशल तरीका प्रदान करता है।
प्लग फ्लो रिएक्टर (पीएफआर) रासायनिक प्रतिक्रियाओं के लिए सबसे अच्छा काम करते हैं जो एक दिशा में चलते हैं और संतुलन को रिवर्स या पहुंचने की आवश्यकता नहीं है।वे अपरिवर्तनीय प्रतिक्रियाओं के लिए सबसे प्रभावी हैं, जहां अभिकारक वापस जाने के बिना उत्पादों में बदल जाते हैं।चूंकि PFRs का एक स्थिर प्रवाह होता है, इसलिए अभिकारक उत्पादों के साथ वापस मिलाने के बिना आगे बढ़ते हैं।यह सेटअप उन प्रतिक्रियाओं के लिए आदर्श नहीं है जिन्हें संतुलन तक पहुंचने की आवश्यकता है क्योंकि मिश्रण की कमी प्रतिक्रिया को रास्ते में समायोजित करने से रोकती है।इन मामलों में, एक पीएफआर प्रतिक्रिया को अपनी पूर्ण क्षमता तक पहुंचने की अनुमति नहीं दे सकता है, जिससे यह कुछ रासायनिक प्रक्रियाओं के लिए कम प्रभावी हो जाता है।कुछ प्रतिक्रियाओं को सर्वोत्तम परिणाम प्राप्त करने के लिए अधिक समय और मिश्रण की आवश्यकता होती है, लेकिन पीएफआर इस लचीलेपन को प्रदान नहीं करते हैं।इस वजह से, कुछ प्रतिक्रियाएं पूरी तरह से पूरी नहीं हो सकती हैं, जिससे कम दक्षता हो सकती है।उन प्रतिक्रियाओं के लिए जिन्हें बेहतर मिश्रण और लंबे समय तक प्रतिक्रिया समय की आवश्यकता होती है, एक निरंतर हलचल-टैंक रिएक्टर (CSTR) या एक अन्य प्रकार के रिएक्टर बेहतर काम कर सकते हैं।CSTRS लगातार सामग्री को हिलाता है, यहां तक कि मिश्रण सुनिश्चित करता है और यदि आवश्यक हो तो प्रतिक्रिया को दोनों दिशाओं में स्थानांतरित करने की अनुमति देता है।यह उन्हें उन प्रतिक्रियाओं के लिए उपयोगी बनाता है जिन्हें सबसे अच्छी उपज प्राप्त करने के लिए सावधानीपूर्वक नियंत्रण की आवश्यकता होती है।जबकि पीएफआर कुछ प्रतिक्रियाओं के लिए महान हैं, वे सबसे अच्छा विकल्प नहीं हो सकते हैं जब एक प्रतिक्रिया को संतुलन के लिए अधिक समय की आवश्यकता होती है या निरंतर मिश्रण की आवश्यकता होती है।सही रिएक्टर चुनना प्रतिक्रिया के प्रकार और वांछित परिणाम पर निर्भर करता है।
प्लग फ्लो रिएक्टरों (पीएफआर) को प्रतिक्रिया दरों और उत्पाद की गुणवत्ता को सुसंगत रखने के लिए एक स्थिर और अच्छी तरह से मिश्रित फ़ीड की आवश्यकता होती है।यदि फ़ीड एकाग्रता, तापमान, या दबाव में बदलता है, तो यह प्रभावित कर सकता है कि रिएक्टर कितनी अच्छी तरह से काम करता है।असमान फ़ीड गुणवत्ता अंतिम उत्पाद में असंगत रूपांतरण दर और विविधताएं पैदा कर सकती है।उन उद्योगों में जहां सटीक उत्पाद की गुणवत्ता महत्वपूर्ण है, यहां तक कि छोटे परिवर्तन भी अवांछित पक्ष प्रतिक्रियाओं या कम दक्षता जैसी समस्याओं का कारण बन सकते हैं।इन मुद्दों से बचने के लिए, फ़ीड को स्थिर और ठीक से नियंत्रित रखना महत्वपूर्ण है।एक अच्छी तरह से विनियमित फ़ीड यह सुनिश्चित करता है कि रिएक्टर सुचारू रूप से संचालित हो और विश्वसनीय परिणाम पैदा करता है।PFR फ़ीड की स्थिति में परिवर्तन के लिए अत्यधिक संवेदनशील होते हैं क्योंकि कोई भी भिन्नता सीधे प्रभावित करती है कि रिएक्टर के अंदर प्रतिक्रिया कैसे होती है।चूंकि प्रतिक्रियाएं फ़ीड के माध्यम से चलती हैं, इसलिए इसके गुणों में कोई भी परिवर्तन असमान प्रसंस्करण और अप्रत्याशित परिणामों को जन्म दे सकता है।इसे रोकने के लिए, ऑपरेटरों को फ़ीड की सावधानीपूर्वक निगरानी और नियंत्रण करना चाहिए।तापमान बदलाव, दबाव में परिवर्तन, या अशुद्धियां प्रतिक्रिया को परेशान कर सकती हैं और दक्षता को कम कर सकती हैं।उन्नत निगरानी प्रणालियों का उपयोग करना स्थिर परिस्थितियों को बनाए रखने में मदद करता है, बेहतर प्रदर्शन, उच्च उत्पाद गुणवत्ता और कम उत्पादन समस्याओं को सुनिश्चित करता है।
पैक-बेड प्लग फ्लो रिएक्टरों (पीएफआर) में, ठोस उत्प्रेरक या पैकिंग सामग्री रासायनिक प्रतिक्रियाओं को चलाने में मदद करती है।हालांकि, चैनलिंग तब हो सकती है जब अभिकारकों का प्रवाह पैक किए गए बिस्तर के माध्यम से समान रूप से नहीं फैलता है।समान रूप से बहने के बजाय, अभिकारक उत्प्रेरक के कुछ हिस्सों को छोड़ सकते हैं।यह एक असमान प्रतिक्रिया का कारण बनता है, जहां कुछ क्षेत्र कुशलता से काम करते हैं जबकि अन्य नहीं करते हैं।नतीजतन, कुछ अभिकर्मक पूरी तरह से प्रतिक्रिया किए बिना रिएक्टर से गुजरते हैं, समग्र दक्षता को कम करते हैं।चूंकि पीएफआर को सर्वश्रेष्ठ प्रदर्शन के लिए भी प्रवाह की आवश्यकता होती है, इसलिए चैनलिंग एक बड़ी समस्या हो सकती है, विशेष रूप से उन उद्योगों में जिन्हें उच्च रूपांतरण दरों की आवश्यकता होती है।चैनलिंग असमान प्रतिक्रिया दर और कम समग्र दक्षता की ओर जाता है।जब उत्प्रेरक बिस्तर के कुछ हिस्सों को बायपास किया जाता है, तो कम अभिकारक उत्पादों में परिवर्तित हो जाते हैं, जिससे व्यर्थ सामग्री और कम पैदावार होती है।इसे रोकने के लिए, आपको रिएक्टरों को ध्यान से डिजाइन करना होगा।वे समान रूप से प्रवाह को फैलाने के लिए समान पैकिंग, प्रवाह वितरकों या विशेष संरचनाओं का उपयोग कर सकते हैं।उचित डिजाइन चैनलिंग को कम करने में मदद करता है, जिससे रिएक्टर अधिक कुशल और रासायनिक उत्पादन में सुधार होता है।
भले ही प्लग फ्लो रिएक्टरों (पीएफआर) में एक साधारण डिज़ाइन होता है, लेकिन उन्हें बड़ा बनाना या उन्हें बड़े पैमाने पर उपयोग के लिए डिजाइन करना काफी मुश्किल हो सकता है।जब एक पीएफआर का पैमाना होता है, तो उन्हें यह सुनिश्चित करने की आवश्यकता होती है कि सामग्री का प्रवाह सुचारू रूप से रहता है और प्रतिक्रिया की स्थिति पूरे रिएक्टर में समान रहती है।यह समझने के लिए सावधानीपूर्वक गणना की आवश्यकता होती है कि तरल पदार्थ कैसे चलते हैं, गर्मी कैसे फैलती है, और सिस्टम के अंदर कितनी तेजी से प्रतिक्रियाएं होती हैं।ये कारक बड़ी औद्योगिक सेटिंग्स में और भी महत्वपूर्ण हो जाते हैं, जहां प्रवाह या तापमान में छोटे परिवर्तन दक्षता और उत्पाद की गुणवत्ता को प्रभावित कर सकते हैं।यदि एक पीएफआर को ठीक से नहीं बढ़ाया जाता है, तो यह अपेक्षा के साथ -साथ काम नहीं कर सकता है, जिससे उत्पादन में समस्याएं पैदा होती हैं।एक पीएफआर को स्केल करने के लिए, अक्सर इसे लंबा करें या कई रिएक्टरों को एक साथ सेट करें।हालांकि, बस आकार में वृद्धि पर्याप्त नहीं है।उन्हें यह सुनिश्चित करने के लिए प्रवाह दरों को ध्यान से समायोजित करना होगा कि सामग्री पूरी होने के लिए सही गति से आगे बढ़ें।रिएक्टर के अंदर दबाव परिवर्तन को प्रवाह की समस्याओं को रोकने के लिए भी नियंत्रित किया जाना चाहिए।एक अन्य मुद्दा गर्मी हस्तांतरण है क्योंकि बड़े रिएक्टर एक समान तापमान रखने के लिए संघर्ष कर सकते हैं, जिससे रिएक्टर के कुछ हिस्सों को ज़्यादा गरम या ठंडा करने का कारण बन सकता है।कई इन कारकों को प्रबंधित करने के लिए उन्नत तरीकों का उपयोग करते हैं ताकि बड़ा रिएक्टर मूल छोटे संस्करण के साथ -साथ काम करता है।
प्लग फ्लो रिएक्टर (पीएफआर) फाउलिंग विकसित कर सकते हैं, जो तब होता है जब ठोस पदार्थ रिएक्टर के अंदर निर्माण करते हैं।ये डिपॉजिट फ़ीड में बचे हुए अभिकारकों, बायप्रोडक्ट्स या अशुद्धियों से आ सकते हैं।समय के साथ, फाउलिंग सामग्री के प्रवाह को अवरुद्ध कर सकता है और गर्मी हस्तांतरण को कम प्रभावी बना सकता है।चूंकि तापमान नियंत्रण प्रतिक्रियाओं के लिए महत्वपूर्ण है, इसलिए यह दक्षता को कम करने के लिए प्रतिक्रिया प्रक्रिया को धीमा या बदल सकता है।इसे रोकने के लिए, नियमित सफाई की आवश्यकता है, लेकिन यह महंगा हो सकता है और संचालन को रोकने या धीमा करने की आवश्यकता हो सकती है।यदि फाउलिंग को प्रबंधित नहीं किया जाता है, तो यह रिएक्टर भागों को दीर्घकालिक नुकसान भी पैदा कर सकता है, जिससे और भी अधिक महंगी मरम्मत हो सकती है।फाउलिंग के अलावा, पीएफआर भी प्रवाह में रुकावटों या व्यवधानों का सामना कर सकते हैं।इन रिएक्टरों को सामग्रियों के एक स्थिर आंदोलन की आवश्यकता होती है, इसलिए कोई भी रुकावट समस्या पैदा कर सकती है।ब्लॉकेज ठोस कणों, उपकरणों के मुद्दों या फ़ीड रचना में परिवर्तन से आ सकते हैं।जब ऐसा होता है, तो दबाव बदल सकता है, और प्रतिक्रिया ठीक से पूरी नहीं हो सकती है, जिससे कम उत्पाद की गुणवत्ता हो सकती है।असमान प्रवाह रिएक्टर के अंदर तापमान और एकाग्रता के स्तर को भी प्रभावित कर सकता है, जिससे प्रक्रिया कम कुशल हो जाती है।इन समस्याओं से बचने के लिए, निरंतर निगरानी की आवश्यकता है।कई सिस्टम प्रदर्शन को ट्रैक करने के लिए सेंसर और नियंत्रण का उपयोग करते हैं, लेकिन ये परिचालन लागत में जोड़ते हैं।इन चुनौतियों के बावजूद, नियमित रखरखाव और सावधानीपूर्वक निगरानी पीएफआर को सुचारू रूप से और कुशलता से चलाने में मदद करते हैं।
प्लग फ्लो रिएक्टरों (पीएफआर) का उपयोग उनकी दक्षता और बहुमुखी प्रतिभा के कारण केमिकल इंजीनियरिंग में व्यापक रूप से किया जाता है।उनका डिज़ाइन यूनिडायरेक्शनल फ्लो और सुसंगत निवास समय सुनिश्चित करता है, जिससे प्रतिक्रिया कैनेटीक्स और उत्पाद वितरण पर सटीक नियंत्रण की अनुमति मिलती है।यह उन्हें गैस-चरण, तरल-चरण, विषम और सजातीय प्रणालियों सहित विभिन्न रासायनिक प्रतिक्रियाओं के लिए उपयुक्त बनाता है।उनकी स्केलेबिलिटी और लागत-प्रभावशीलता बड़े पैमाने पर औद्योगिक उत्पादन में मूल्यवान हैं।
प्लग फ्लो रिएक्टर (पीएफआर) बड़ी मात्रा में रसायनों जैसे सल्फ्यूरिक एसिड, एथिलीन ऑक्साइड और मेथनॉल बनाने में महत्वपूर्ण हैं।उनका डिजाइन रसायनों को लगातार प्रवाह करने की अनुमति देता है, जो प्रतिक्रियाओं को गति देता है और उत्पादन को बढ़ाता है।यह उन उद्योगों के लिए उपयोगी है जिन्हें उच्च मात्रा में रसायनों को जल्दी से बनाने की आवश्यकता है।PFRs स्थिर प्रतिक्रिया की स्थिति प्रदान करते हैं, यह सुनिश्चित करते हुए कि अंतिम उत्पाद शुद्ध और गुणवत्ता में सुसंगत है।प्रतिक्रिया दरों को स्थिर रखने और अवांछित उत्पादों को कम करके, पीएफआर उत्पादन दक्षता को अधिकतम करने में मदद करते हैं।यह विश्वसनीयता उन उद्योगों के लिए महान है जो सटीक रासायनिक प्रक्रियाओं पर निर्भर करती हैं ताकि बड़ी मात्रा में कुशलता से और कम लागत पर उत्पादन किया जा सके।पीएफआर भी वापस मिक्सिंग को रोककर और प्रतिक्रियाओं को समान रखकर रासायनिक विनिर्माण को अधिक कुशल बनाते हैं।उनका स्थिर प्रवाह प्रतिक्रिया की स्थिति पर बेहतर नियंत्रण के लिए अनुमति देता है, अतिरिक्त शुद्धि चरणों की आवश्यकता को कम करता है।यह उत्पादन लागत को कम करता है और अपशिष्ट को कम करता है, जिससे संचालन अधिक टिकाऊ हो जाता है।रसायनों का उत्पादन करने की उनकी क्षमता के कारण, लगातार, और न्यूनतम अपशिष्ट के साथ, पीएफआर का व्यापक रूप से उन उद्योगों में उपयोग किया जाता है जिनके लिए उच्च मात्रा वाले रासायनिक उत्पादन की आवश्यकता होती है।उनका डिज़ाइन उन्हें नियंत्रण में रखते हुए दक्षता और उत्पाद की गुणवत्ता में सुधार करने की तलाश में कंपनियों के लिए एक पसंदीदा विकल्प बनाता है।
पेट्रोकेमिकल उद्योग में, प्लग फ्लो रिएक्टरों (पीएफआर) का उपयोग आमतौर पर कैटेलिटिक क्रैकिंग और हाइड्रोजनीकरण जैसी शोधन प्रक्रियाओं के लिए किया जाता है।प्रतिक्रिया की स्थिति पर उनका सटीक नियंत्रण एथिलीन, प्रोपलीन और ब्यूटाडीन जैसे मूल्यवान रसायनों के कुशल उत्पादन की अनुमति देता है, जो प्लास्टिक और सिंथेटिक सामग्री बनाने में उपयोग किए जाते हैं।क्योंकि PFRS लगातार हाइड्रोकार्बन के उच्च संस्करणों को संसाधित करता है, वे रिफाइनरियों को सुचारू रूप से संचालित करने और उत्पाद की गुणवत्ता बनाए रखने में मदद करते हैं।PFRS में यूनिडायरेक्शनल प्रवाह बैक-मिक्सिंग को रोकता है, अभिकारकों की शुद्धता को संरक्षित करता है और समग्र दक्षता में सुधार करता है।पेट्रोकेमिकल प्रसंस्करण में पीएफआर का एक और लाभ गर्मी को प्रभावी ढंग से संभालने की उनकी क्षमता है, जो उच्च तापमान शोधन प्रतिक्रियाओं के लिए महत्वपूर्ण है।स्थिर तापमान और दबाव बनाए रखने से, पीएफआर अवांछित उत्पादों को कम करते हुए पैदावार को अधिकतम करने में मदद करता है।उनका डिजाइन उन्हें बड़े पैमाने पर शोधन संचालन और विशेष पेट्रोकेमिकल उत्पादन दोनों के लिए अनुकूलनीय बनाता है।उनकी दक्षता, विश्वसनीयता, और रुकावट के बिना बड़ी मात्रा में सामग्री को संसाधित करने की क्षमता के कारण, पीएफआर पेट्रोकेमिकल उद्योग में एक भूमिका निभाते हैं, जिससे ऊर्जा दक्षता में सुधार करते हुए रिफाइनरियों को वैश्विक मांग को पूरा करने में मदद मिलती है।
प्लग फ्लो रिएक्टरों (पीएफआर) का उपयोग व्यापक रूप से दवाओं को बनाने में किया जाता है, विशेष रूप से सक्रिय दवा सामग्री (एपीआई) के उत्पादन में।सटीक प्रतिक्रिया की स्थिति को बनाए रखने की उनकी क्षमता यह सुनिश्चित करती है कि दवाओं को उच्च शुद्धता और स्थिरता के साथ उत्पादित किया जाता है।क्योंकि एक पीएफआर में सभी अणु समान प्रतिक्रिया की स्थिति का अनुभव करते हैं, उत्पाद की गुणवत्ता में कम भिन्नताएं हैं।यह दवा उद्योग में महत्वपूर्ण है, जहां सख्त नियमों को लगातार और उच्च गुणवत्ता वाले दवा उत्पादन की आवश्यकता होती है।अवांछित उप-उत्पादों के गठन को कम करके, पीएफआर भी उपज को अधिकतम करने में मदद करते हैं, यह सुनिश्चित करते हुए कि महंगे कच्चे माल का उपयोग कुशलता से किया जाता है।PFRs बैच प्रसंस्करण के बजाय निरंतर उत्पादन को सक्षम करके दवा निर्माण में भी सुधार करते हैं।यह विभिन्न उत्पादन रन के बीच परिवर्तनशीलता को कम करता है और दक्षता बढ़ाता है।PFRs में अभिकारकों का स्थिर प्रवाह उन्हें विशेष दवाओं के उत्पादन के लिए आदर्श बनाता है जो प्रतिक्रिया समय और स्थितियों पर सटीक नियंत्रण की आवश्यकता होती है।PFRS निरंतर प्रवाह रसायन विज्ञान जैसी आधुनिक विनिर्माण तकनीकों का समर्थन करता है, जो सख्त गुणवत्ता और सुरक्षा मानकों को पूरा करते हुए कंपनियों को अपशिष्ट और कम लागत को कम करने में मदद करता है।इन लाभों के कारण, PFRs दवा उत्पादन में एक महत्वपूर्ण तकनीक है।
प्लग फ्लो रिएक्टर (पीएफआर) उत्प्रेरक प्रतिक्रियाओं में अत्यधिक प्रभावी हैं, जहां अभिकारकों को सर्वोत्तम परिणामों के लिए उत्प्रेरक के साथ संपर्क करना चाहिए।उनका स्थिर प्रवाह यह सुनिश्चित करता है कि प्रतिक्रियाशील उत्प्रेरक सतहों पर समान रूप से गुजरते हैं, प्रतिक्रिया की गति और दक्षता में सुधार करते हैं।यह हाइड्रोजनीकरण और ऑक्सीकरण जैसी औद्योगिक प्रक्रियाओं में उपयोगी है, जहां सटीक प्रतिक्रिया नियंत्रण उच्च पैदावार की ओर जाता है।चूंकि पीएफआर स्थिर स्थिति बनाए रखते हैं, उत्प्रेरक लंबे समय तक रहता है, लागत को कम करता है और समग्र प्रदर्शन में सुधार करता है।असमान मिश्रण को रोककर, पीएफआर भी अवांछित पक्ष प्रतिक्रियाओं को कम करते हैं, जिससे उन्हें उन उद्योगों के लिए एक पसंदीदा विकल्प बन जाता है जो उत्प्रेरक प्रक्रियाओं पर भरोसा करते हैं।पीएफआर भी प्रतिक्रिया की स्थिति को अनुकूलित करके और कचरे को कम करके बड़े पैमाने पर उत्प्रेरक उत्पादन को बढ़ाता है।उनका डिजाइन बेहतर तापमान और दबाव नियंत्रण की अनुमति देता है, जिससे उत्प्रेरक के अधिक कुशल उपयोग होते हैं।यह पेट्रोकेमिकल्स, फार्मास्यूटिकल्स और फाइन रसायनों जैसे उद्योगों के लिए महत्वपूर्ण है, जहां दक्षता में छोटे सुधार भी लागत और उत्पाद की गुणवत्ता को प्रभावित कर सकते हैं।अपशिष्ट और ऊर्जा उपयोग को कम करते हुए उत्प्रेरक प्रदर्शन को अधिकतम करने की उनकी क्षमता के कारण, PFRS औद्योगिक उत्प्रेरक प्रतिक्रियाओं में एक भूमिका निभाता है।
प्लग फ्लो रिएक्टर (पीएफआर) पर्यावरण संरक्षण में महत्वपूर्ण हैं, विशेष रूप से प्रदूषण को कम करने और औद्योगिक कचरे का इलाज करने के लिए।वे आमतौर पर ग्रिप गैस उपचार में उपयोग किए जाते हैं, जहां सल्फर डाइऑक्साइड और नाइट्रोजन ऑक्साइड जैसे हानिकारक उत्सर्जन को सुरक्षित यौगिकों में परिवर्तित किया जाता है।पीएफआर भी खतरनाक रसायनों को कम हानिकारक उप-उत्पादों में तोड़कर अपशिष्ट जल उपचार में एक भूमिका निभाते हैं।उनका निरंतर प्रवाह डिजाइन कुशल प्रदूषक हटाने को सुनिश्चित करता है, जिससे उद्योगों को परिचालन लागत को कम करते हुए पर्यावरणीय नियमों को पूरा करने में मदद मिलती है।प्रदूषण नियंत्रण के अलावा, पीएफआर ऊर्जा दक्षता में सुधार और कचरे को कम करके स्थिरता का समर्थन करते हैं।औद्योगिक कचरे के बड़े संस्करणों को संसाधित करने की उनकी क्षमता लगातार उन्हें बड़े पैमाने पर पर्यावरण प्रबंधन के लिए एक विश्वसनीय समाधान बनाती है।पीएफआर प्रौद्योगिकी को शामिल करके, उद्योग कुशल उत्पादन को बनाए रखते हुए उनके पर्यावरणीय प्रभाव को कम कर सकते हैं।जैसा कि प्रदूषण और जलवायु परिवर्तन के बारे में चिंताएं बढ़ती हैं, पीएफआर क्लीनर और अधिक टिकाऊ विनिर्माण समाधानों की तलाश करने वाले उद्योगों के लिए एक तेजी से मूल्यवान उपकरण बन रहे हैं।
PFRs दोनों विषम और सजातीय प्रतिक्रियाओं को संभाल सकते हैं, जिससे वे रासायनिक संश्लेषण में अत्यधिक बहुमुखी हैं।वे सटीक थर्मल नियंत्रण और सामग्री हैंडलिंग की आवश्यकता वाले जटिल कार्बनिक संश्लेषण के लिए उपयोगी हैं। विषम प्रतिक्रियाओं में, समान प्रवाह पैटर्न अभिकारकों और ठोस उत्प्रेरक के बीच भी संपर्क सुनिश्चित करता है, रूपांतरण दरों और उत्पाद चयनात्मकता को अधिकतम करता है।सजातीय प्रतिक्रियाओं में, लगातार निवास समय स्थिर प्रतिक्रिया कैनेटीक्स को बनाए रखता है, उपज और उत्पाद की गुणवत्ता को बढ़ाता है।यह अनुकूलनशीलता पीएफआर को रासायनिक प्रक्रियाओं की एक विस्तृत श्रृंखला के लिए उपयुक्त बनाती है, बुनियादी वस्तु रसायनों से लेकर जटिल ठीक रसायनों और फार्मास्यूटिकल्स तक।प्रतिक्रिया की स्थिति पर उनका सटीक नियंत्रण न्यूनतम उप-उत्पादों के साथ उच्च शुद्धता वाले उत्पादों के संश्लेषण की अनुमति देता है।
पीएफआर का उपयोग ठीक रसायनों के उत्पादन में किया जाता है, जहां उच्च शुद्धता और विशिष्ट प्रतिक्रिया मार्गों की आवश्यकता होती है।वे तापमान, दबाव और निवास समय पर सटीक नियंत्रण प्रदान करते हैं, जो लगातार उत्पाद की गुणवत्ता और उपज सुनिश्चित करते हैं।यह सटीक रंजक, सुगंध, विशेष कोटिंग्स और अन्य ठीक रसायनों के निर्माण में बहुत अच्छा है, जिनके लिए सख्त गुणवत्ता मानकों की आवश्यकता होती है।PFRS द्वारा उत्पाद गठन को कम किया और प्रतिक्रिया चयनात्मकता को बढ़ाया, कच्चे माल के उपयोग को अनुकूलित करना और कचरे को कम करना।उनकी स्केलेबिलिटी भी ठीक रासायनिक निर्माताओं को उत्पाद की स्थिरता को बनाए रखते हुए छोटे पैमाने पर प्रयोगशाला संश्लेषण से पूर्ण पैमाने पर औद्योगिक उत्पादन में कुशलता से संक्रमण करने की अनुमति देती है।
प्लग फ्लो रिएक्टर सटीकता के साथ रासायनिक प्रतिक्रियाओं के प्रबंधन के लिए सुपर उपयोगी हैं।वे सब कुछ एक दिशा में आगे बढ़ाकर काम करते हैं, जो समान मात्रा में रसायनों से अधिक उत्पाद प्राप्त करने में मदद करता है और चीजों को सुरक्षित और सुसंगत रखता है।वे विशेष रूप से बड़ी औद्योगिक नौकरियों के लिए अच्छे हैं जहां आपको सामग्री या ऊर्जा को बर्बाद किए बिना बहुत सारे उत्पाद बनाने की आवश्यकता होती है।हालांकि, वे हर स्थिति के लिए सही नहीं हैं, कभी -कभी वे कुछ प्रतिक्रियाओं के लिए पर्याप्त रूप से मिश्रण नहीं करते हैं, और वे उन सामग्रियों में परिवर्तन के प्रति संवेदनशील हो सकते हैं जो वे उपयोग करते हैं।लेकिन कुल मिलाकर, पीएफआर बहुत सारी विनिर्माण प्रक्रियाओं के लिए एक पसंद है क्योंकि वे प्रभावशीलता के साथ दक्षता को संतुलित करते हैं, उद्योगों को सुचारू रूप से और आर्थिक रूप से चलाते हैं।
कृपया एक जांच भेजें, हम तुरंत जवाब देंगे।
एक प्लग फ्लो रिएक्टर (पीएफआर) का सिद्धांत यह है कि अभिकारक एक बेलनाकार पाइप के माध्यम से एक तरह से प्रवाहित होते हैं, जहां द्रव के सभी तत्व रिएक्टर के माध्यम से एक ही वेग पर चलते हैं, जिसमें प्रवाह दिशा में कोई मिश्रण नहीं होता है।यह तरल पदार्थ के प्रत्येक खंड में प्रवेश करने और रिएक्टर से अलग -अलग समय पर बाहर निकलने के परिणामस्वरूप होता है, अनिवार्य रूप से रिएक्टर के माध्यम से चलने वाले द्रव के "प्लग" को बनाए रखता है।एकाग्रता और प्रतिक्रिया दर रिएक्टर की लंबाई के साथ भिन्न होती है, लेकिन प्रवाह के लिए किसी भी क्रॉस-सेक्शन लंबवत में स्थिर होती है।
एक प्लग फ्लो रिएक्टर की एक प्रमुख विशेषता इनलेट से आउटलेट तक अभिकारक एकाग्रता के एक स्थिर ढाल को बनाए रखने की क्षमता है।यह सुनिश्चित करता है कि प्रतिक्रिया ट्यूब की लंबाई के साथ अनुक्रमित अनंत रूप से छोटे बैच रिएक्टरों की एक श्रृंखला के रूप में आगे बढ़ती है।यह सेटअप प्रतिक्रिया समय और स्थितियों पर सटीक नियंत्रण प्रदान करता है, जो उन प्रतिक्रियाओं के लिए आदर्श है जो निवास समय के प्रति संवेदनशील हैं।
प्लग फ्लो रिएक्टरों (पीएफआर) का व्यापक रूप से उन उद्योगों में उपयोग किया जाता है जहां प्रतिक्रिया समय पर सटीक नियंत्रण दक्षता और उत्पाद की गुणवत्ता के लिए अच्छा है।रासायनिक उत्पादन में, पीएफआर रसायनों के निरंतर निर्माण के लिए अनुमति देते हैं, स्थिर प्रवाह और प्रतिक्रिया स्थितियों के माध्यम से समान उत्पाद विशेषताओं को सुनिश्चित करते हैं।वे पेट्रोकेमिकल प्रक्रियाओं में महत्वपूर्ण हैं, जैसे कि एथिलीन और अन्य ओलेफिन का उत्पादन करने के लिए हाइड्रोकार्बन क्रैकिंग, जहां सटीक समय और तापमान पैदावार को अधिकतम करने और उत्पादों को कम करने के लिए महत्वपूर्ण हैं।दवा निर्माण में, पीएफआर दवा संश्लेषण के लिए महत्वपूर्ण हैं।प्रतिक्रिया के समय और स्थितियों पर वे जो सटीक नियंत्रण प्रदान करते हैं, वह यह सुनिश्चित करने में मदद करता है कि फार्मास्यूटिकल्स शुद्ध हैं और पर्याप्त रूप से उपज हैं, जो रोगी की सुरक्षा और नशीली दवाओं की प्रभावशीलता के लिए सबसे अच्छा है।पीएफआर का उपयोग जल उपचार में भी किया जाता है, विशेष रूप से पानी के क्लोरीनीकरण में, रासायनिक जोखिम को नियंत्रित करते हुए और अतिरिक्त उपयोग को कम करने के लिए प्रभावी ढंग से कीटाणुरहित करने के लिए।
एक प्लग फ्लो डाइजेस्टर एक पीएफआर के समान सिद्धांत पर संचालित होता है, लेकिन विशेष रूप से कार्बनिक पदार्थों के एनारोबिक पाचन के लिए डिज़ाइन किया गया है।इस सेटअप में, कार्बनिक कचरे को लगातार एक सील, क्षैतिज रिएक्टर के एक छोर में खिलाया जाता है।जैसे -जैसे कचरा रिएक्टर के माध्यम से चलता है, सूक्ष्मजीव कार्बनिक पदार्थों को पचाते हैं, बायोगैस (मीथेन और कार्बन डाइऑक्साइड) का उत्पादन करते हैं।डाइजेस्टर एक समान प्रवाह को बनाए रखता है जो मिश्रण को रोकता है और यह सुनिश्चित करता है कि कचरे के प्रत्येक सेगमेंट में एक सुसंगत प्रतिधारण समय होता है, गैस उत्पादन का अनुकूलन होता है और अपशिष्ट अपशिष्ट को कम करता है।
प्लग फ्लो रिएक्टर (पीएफआर) का उपयोग करना उच्च रूपांतरण दक्षता की पेशकश करके रासायनिक प्रक्रियाओं में सुधार करता है, जिसका अर्थ है कि यह सभी अभिकारकों का उपयोग आउटपुट को अधिकतम करने के लिए प्रभावी ढंग से करता है।PFRS सटीक तापमान नियंत्रण बनाए रखता है, प्रतिक्रिया दर और पैदावार को बढ़ाता है।वे स्केलेबल हैं, प्रक्रिया की गुणवत्ता को प्रभावित किए बिना छोटे पैमाने पर लैब सेटअप से बड़े पैमाने पर औद्योगिक उत्पादन तक आसान संक्रमण की अनुमति देते हैं।PFRs बैक-मिक्सिंग को रोकते हैं, उन प्रक्रियाओं की आवश्यकता होती है जिन्हें हस्तक्षेप के बिना अनुक्रमिक प्रतिक्रियाओं की आवश्यकता होती है।वे अभिकारकों को पूरा करने की ओर लगातार आगे बढ़ते हुए, समग्र प्रतिक्रिया समय को कम करने और लागत में कटौती करके उत्पादन में तेजी लाते हैं।
2025/03/4 पर
2025/03/3 पर
8000/04/18 पर 147757
2000/04/18 पर 111935
1600/04/18 पर 111349
0400/04/18 पर 83719
1970/01/1 पर 79508
1970/01/1 पर 66901
1970/01/1 पर 63021
1970/01/1 पर 63010
1970/01/1 पर 54081
1970/01/1 पर 52121