बैटरी प्रौद्योगिकी का विकास नई इलेक्ट्रॉनिक्स, इलेक्ट्रिक कारों और नवीकरणीय ऊर्जा को आगे बढ़ा रहा है।यह जानना कि बैटरी से अलग -अलग बैटरी चार्जिंग तरीके कैसे काम करते हैं, जो बैटरी से सबसे अच्छा प्रदर्शन और सबसे लंबा जीवन प्राप्त करने के लिए महत्वपूर्ण है।यह लेख विभिन्न चार्जिंग विधियों को देखता है, जैसे कि निरंतर वोल्टेज (सीवी) और निरंतर वर्तमान (सीसी), उनके संयोजन और निरंतर शक्ति (सीपी) चार्जिंग जैसे नए तरीके।इसमें पल्स चार्जिंग और इनोवेटिव IUI चार्जिंग विधि जैसी उन्नत तकनीकों को भी शामिल किया गया है जो विशिष्ट प्रकार की बैटरी के लिए डिज़ाइन किए गए हैं।प्रत्येक विधि के अपने फायदे हैं और कुछ उपयोगों के लिए सबसे अच्छा है, जो आधुनिक बैटरी तकनीक की विस्तृत आवश्यकताओं को दर्शाता है।यह लेख न केवल बताता है कि ये विधियां कैसे काम करती हैं, बल्कि यह भी दिखाती हैं कि वे आज की तकनीकी-चालित दुनिया में कैसे उपयोग किए जाते हैं, और प्रत्येक चार्जिंग विधि, वे कैसे काम करते हैं, और तकनीकी प्रगति के लिए एक विस्तृत नज़र के लिए मंच सेट करता है जो क्षेत्र को बदलते रहते हैंबैटरी चार्जिंग।

चित्र 1: बैटरी चार्जिंग काम करता है
निरंतर वोल्टेज (सीवी) चार्जिंग एक ऐसी विधि है जहां बैटरी पर लागू वोल्टेज चार्जिंग प्रक्रिया के दौरान तय किया जाता है।यह निरंतर वर्तमान (CC) चार्जिंग से भिन्न होता है, जहां वर्तमान को स्थिर रखा जाता है जबकि वोल्टेज भिन्न होता है।सीवी चार्जिंग में, बैटरी को तब तक चार्ज किया जाता है जब तक कि यह एक पूर्व निर्धारित वोल्टेज स्तर तक नहीं पहुंच जाता है।इस बिंदु पर, वोल्टेज को बनाए रखा जाता है, और वर्तमान में कमी होती है क्योंकि बैटरी पूर्ण चार्ज के पास होती है।यह विधि यह सुनिश्चित करती है कि वोल्टेज एक सुरक्षित सीमा के भीतर रहता है, ओवरचार्जिंग और संभावित बैटरी क्षति को रोकता है।
लिथियम-आयन बैटरी को चार्ज करने के अंतिम चरण में आवश्यक यह चार्जिंग विधि।यह सटीक वोल्टेज नियंत्रण प्रदान करता है, यह सुनिश्चित करना कि बैटरी पैक में प्रत्येक सेल अधिकतम वोल्टेज सीमा से अधिक के बिना इष्टतम चार्ज स्तर तक पहुंचता है जो बैटरी के रसायन विज्ञान और जीवनकाल को नुकसान पहुंचा सकता है।

चित्रा 2: निरंतर वोल्टेज (सीवी) चार्जिंग का ग्राफ
यहाँ सीवी चार्जिंग चरण का एक विस्तृत टूटना है:
निरंतर वर्तमान (सीसी) चरण के दौरान, बैटरी को तब तक चार्ज किया जाता है जब तक कि यह एक विशिष्ट वोल्टेज सीमा को हिट नहीं करता है, इसकी अधिकतम क्षमता के करीब (अधिकांश लिथियम-आयन बैटरी के लिए लगभग 4.2 वोल्ट प्रति सेल)।
एक बार जब यह दहलीज पूरी हो जाती है, तो चार्जिंग सर्किट सीसी से सीवी मोड में संक्रमण होता है।चार्जर तब बैटरी के लिए एक निरंतर वोल्टेज लागू करता है।
सीवी चरण की शुरुआत में, चार्जिंग करंट अधिक है।जैसा कि सेल वोल्टेज चार्जर वोल्टेज के पास होता है, वर्तमान धीरे -धीरे कम हो जाता है।ऐसा इसलिए होता है क्योंकि चार्जर और बैटरी के बीच संभावित अंतर कम हो जाता है, स्वाभाविक रूप से ओम के कानून के अनुसार वर्तमान प्रवाह को सीमित करता है।
जैसे -जैसे बैटरी चार्ज होती रहती है, वोल्टेज को बनाए रखने के लिए कम करंट की आवश्यकता होती है।यह घटता वर्तमान इंगित करता है कि बैटरी अपनी पूर्ण चार्ज क्षमता के पास है।
चार्जिंग प्रक्रिया तब समाप्त होती है जब वर्तमान प्रारंभिक चार्ज दर के एक छोटे से अंश पर गिरता है, अक्सर शुरुआती वर्तमान का लगभग 10%।वर्तमान संकेतों में यह गिरावट है कि बैटरी पूरी तरह से चार्ज है।
निरंतर वर्तमान (CC) चार्जिंग एक बैटरी चार्जिंग विधि है जहां एक निश्चित वर्तमान बैटरी को आपूर्ति की जाती है जब तक कि यह एक विशिष्ट वोल्टेज स्तर तक नहीं पहुंचता है।निरंतर वोल्टेज (सीवी) चार्जिंग के विपरीत, जहां वोल्टेज स्थिर रहता है और बैटरी चार्ज के रूप में वर्तमान घटता है, सीसी चार्जिंग चार्जिंग प्रक्रिया के दौरान एक स्थिर वर्तमान को बनाए रखता है।यह वर्तमान बैटरी निर्माता द्वारा निर्दिष्ट किया गया है या बैटरी की विशेषताओं के आधार पर निर्धारित किया गया है।जैसे -जैसे लगातार करंट बैटरी में बहता है, इसका वोल्टेज बढ़ता है।एक बार जब बैटरी अपने निर्दिष्ट वोल्टेज दहलीज तक पहुंच जाती है, तो चार्जिंग विधि चक्र को पूरा करने के लिए निरंतर वोल्टेज चार्जिंग पर स्विच कर सकती है, यह सुनिश्चित करना कि बैटरी पूरी तरह से ओवरचार्जिंग के बिना चार्ज हो जाए।
सीसी चार्जिंग के मूल सिद्धांत में चार्जिंग चरण में वर्तमान को बैटरी में प्रवाहित करना शामिल है।यह वर्तमान विनियमन सर्किट या उपकरणों का उपयोग करके प्राप्त किया जाता है जो वांछित स्तर से मेल खाने के लिए वर्तमान आउटपुट की निगरानी और समायोजित करते हैं।यह विधि कुशल ऊर्जा हस्तांतरण सुनिश्चित करती है और बैटरी कोशिकाओं पर तनाव को कम करती है।लगातार वर्तमान चार्जिंग का व्यापक रूप से विभिन्न अनुप्रयोगों में उपयोग किया जाता है, जिसमें उपभोक्ता इलेक्ट्रॉनिक्स, इलेक्ट्रिक वाहन और औद्योगिक उपकरण शामिल हैं, इसकी सादगी और सुरक्षित रूप से चार्ज करने में इसकी सादगी और प्रभावशीलता के कारण सुरक्षित रूप से और मज़बूती से।

चित्रा 3: निरंतर वर्तमान चार्जिंग का ग्राफ
इस क्षेत्र में प्रगति अधिक कुशल, तेज और सुरक्षित चार्जिंग समाधानों की आवश्यकता से प्रेरित होती है, जो अभिनव सामग्री, बैटरी प्रबंधन प्रणालियों और स्मार्ट एल्गोरिदम पर ध्यान केंद्रित करती है।नीचे इन उभरती प्रौद्योगिकियों का एक आकर्षक अवलोकन है:
|
वर्ग |
तकनीकी |
विवरण |
फ़ायदे |
|
इलेक्ट्रोड सामग्री |
सिलिकॉन एनोड्स |
सिलिकॉन दस गुना अधिक लिथियम स्टोर कर सकता है
ग्रेफाइट की तुलना में आयनों, उच्च ऊर्जा घनत्व और तेज चार्जिंग के लिए अग्रणी। |
उच्च ऊर्जा घनत्व, तेजी से चार्जिंग |
|
लिथियम मेटल एनोड्स |
लिथियम धातु उच्च क्षमता प्रदान करता है लेकिन
डेंड्राइट्स से लघु सर्किट के जोखिम पैदा करते हैं।समाधान में उन्नत शामिल हैं
इलेक्ट्रोलाइट्स और ठोस-राज्य डिजाइन। |
उच्च क्षमता, संवर्धित सुरक्षा |
|
|
बैटरी प्रबंधन प्रणाली (बीएमएस) |
अनुकूली सीसी चार्जिंग |
प्रत्येक सेल के चार्ज, तापमान की निगरानी करता है,
और स्वास्थ्य, मशीन लर्निंग का उपयोग करके वास्तविक समय में वर्तमान को समायोजित करना और
उन्नत एल्गोरिदम। |
अनुकूलित दक्षता, लंबे समय तक बैटरी
ज़िंदगी |
|
वायरलेस सीसी चार्जिंग |
गुंजयमान आगमनात्मक युग्मन और
चुंबकीय अनुनाद |
कुशल ऊर्जा की अनुमति देने वाली तकनीकें
भौतिक कनेक्टर्स के बिना छोटी दूरी पर स्थानांतरण, अब स्केल किया जा रहा है
ईवीएस जैसे बड़े अनुप्रयोगों के लिए। |
सीमलेस, तेजी से ऊर्जा पुनःपूर्ति के लिए
ईवीएस |
|
नैनो |
कार्बन नैनोट्यूब और ग्राफीन |
असाधारण के साथ nanostructured सामग्री
विद्युत चालकता और सतह क्षेत्र, बैटरी में शामिल किया गया
चार्जिंग समय को कम करने और स्थायित्व में सुधार करने के लिए इलेक्ट्रोड। |
तेजी से चार्जिंग, बेहतर बैटरी
टिकाऊपन |
|
हाइब्रिड सुपरकैपेसिटर-बैटरी सिस्टम |
रैपिड के लिए सुपरकैपेसिटर का संयोजन
उच्च ऊर्जा भंडारण के लिए बैटरी के साथ सीसी चरण के दौरान चार्ज करना। |
उच्च शक्ति और ऊर्जा घनत्व, तेजी से
चार्जिंग क्षमता |
|
|
सॉफ्टवेयर और नियंत्रण |
एआई और भविष्य कहनेवाला मॉडलिंग |
निर्धारित करने के लिए विशाल डेटा विश्लेषण का उपयोग करता है
इष्टतम चार्जिंग पैरामीटर, पिछले चक्रों से सीखने के लिए चार्जिंग चार्जिंग
प्रोफाइल और ओवरचार्जिंग और ओवरहीटिंग को रोकें। |
तेजी से, सुरक्षित, और अधिक कुशल
चार्ज |
|
IoT एकीकरण |
IoT- सक्षम चार्जर्स और बैटरी |
चार्जर्स के बीच संचार को सक्षम बनाता है,
चार्जिंग शेड्यूल और मॉनिटर को अनुकूलित करने के लिए बैटरी, और केंद्रीकृत सिस्टम
वास्तविक समय में बैटरी स्वास्थ्य। |
लागत बचत, ग्रिड लोड संतुलन,
बैटरी दीर्घायु और विश्वसनीयता के लिए वास्तविक समय की निगरानी |
|
नियामक और मानकीकरण |
नियामक और मानकीकरण प्रयास |
सुरक्षित और के लिए दिशानिर्देश स्थापित करता है
नई सीसी चार्जिंग प्रौद्योगिकियों का कुशल कार्यान्वयन, सुनिश्चित करना
विभिन्न अनुप्रयोगों और निर्माताओं में संगतता और सुरक्षा। |
बाजार एकीकरण की सुविधा देता है, सुनिश्चित करता है
सुरक्षा और संगतता |
हाइब्रिड सीवीसीसी (निरंतर वोल्टेज, निरंतर वर्तमान) चार्जिंग बैटरी को चार्ज करने का एक आधुनिक तरीका है।यह चार्जिंग प्रक्रिया को बेहतर बनाने के लिए निरंतर वोल्टेज और निरंतर वर्तमान तकनीकों दोनों का उपयोग करता है।हाइब्रिड सीवीसीसी चार्जिंग का मुख्य लक्ष्य बैटरी को लंबे समय तक, सुरक्षित रूप से चार्ज करना और कुशलता से काम करना है।यह विधि इलेक्ट्रिक कारों, उपभोक्ता गैजेट्स और अक्षय ऊर्जा भंडारण के लिए उपयोगी है।
पारंपरिक चार्जिंग पूरे समय निरंतर वोल्टेज या निरंतर वर्तमान का उपयोग करता है।लगातार करंट (CC) चार्जिंग में, बैटरी को एक स्थिर वर्तमान हो जाता है जब तक कि यह एक निश्चित वोल्टेज को हिट नहीं करता है।निरंतर वोल्टेज (सीवी) चार्जिंग में, बैटरी को एक स्थिर वोल्टेज मिलता है, जबकि वर्तमान धीरे -धीरे कम हो जाता है क्योंकि बैटरी भर जाती है।हाइब्रिड सीवीसीसी चार्जिंग अपनी समस्याओं को ठीक करने और उनकी ताकत का उपयोग करने के लिए इन दो तरीकों को जोड़ती है।
हाइब्रिड सीवीसीसी चार्जिंग का उद्देश्य तीन गुना है।सबसे पहले, इसका उद्देश्य चार्जिंग समय को कम करना है, जबकि बैटरी को अपनी अधिकतम क्षमता तक सुरक्षित रूप से भरना है।यह इलेक्ट्रिक कारों जैसी चीजों के लिए बहुत महत्वपूर्ण है जिन्हें डाउनटाइम को कम करने के लिए त्वरित चार्जिंग की आवश्यकता होती है।दूसरा, यह पारंपरिक चार्जिंग के साथ सामान्य मुद्दों पर ओवरचार्जिंग और ओवरहीटिंग से बचने से बैटरी को लंबे समय तक चलने में मदद करता है।वोल्टेज और वर्तमान को ध्यान से नियंत्रित करके, हाइब्रिड सीवीसीसी चार्जिंग बैटरी कोशिकाओं पर पहनने को कम करता है।अंत में, यह विधि यह सुनिश्चित करके ऊर्जा दक्षता को बढ़ाती है कि बैटरी को दी गई शक्ति को अनुकूलित किया जाता है, ऊर्जा हानि को कम किया जाता है और उपलब्ध शक्ति का बेहतर उपयोग किया जाता है।

चित्रा 4: सीवीसीसी चार्जिंग का ग्राफ
हाइब्रिड निरंतर वोल्टेज/निरंतर वर्तमान (CVCC) चार्जिंग विधि बैटरी को उच्च करंट के साथ चार्ज करके शुरू करती है।इस चरण के दौरान, चार्जिंग सिस्टम अपने वोल्टेज की परवाह किए बिना बैटरी के लिए एक सुसंगत, उच्च वर्तमान बचाता है।यह दृष्टिकोण तेजी से बैटरी को थोड़े समय के भीतर अपनी क्षमता के स्तर तक ले जाता है।उच्च वर्तमान चरण को जल्दी से बैटरी को एक प्रयोग करने योग्य स्थिति में लाने के लिए आवश्यक है।
जैसे ही बैटरी आने वाली धारा को अवशोषित करती है, इसका वोल्टेज बढ़ जाता है।चार्जिंग सिस्टम बैटरी के वोल्टेज और करंट की निगरानी करता है ताकि यह सुनिश्चित हो सके कि सुरक्षा सीमाएं पार नहीं हैं।यह चरण क्षति या अत्यधिक गर्मी के बिना उच्च वर्तमान इनपुट को संभालने में सक्षम बैटरी के लिए प्रभावी है।इस चरण की अवधि बैटरी प्रकार और क्षमता के आधार पर भिन्न होती है, लेकिन इसका उद्देश्य बैटरी को पूर्व निर्धारित वोल्टेज स्तर पर जल्दी से चार्ज करना है।
जैसा कि बैटरी का वोल्टेज लक्ष्य के पास है, चार्जिंग सिस्टम दूसरे चरण में संक्रमण करता है, जहां वर्तमान कम हो जाता है।एक बार जब बैटरी एक विशिष्ट वोल्टेज सीमा तक पहुंच जाती है, तो वोल्टेज को स्थिर रखते हुए सिस्टम वर्तमान को कम कर देता है।यह ओवरचार्जिंग को रोकने और बैटरी कोशिकाओं पर तनाव को कम करने में मदद करता है।
संक्रमण चरण को निरंतर वोल्टेज को बनाए रखने और सुरक्षित स्तरों के भीतर वर्तमान प्रवास सुनिश्चित करने के बीच एक संतुलन की आवश्यकता होती है।सिस्टम बैटरी की स्थिति की निगरानी करने और वर्तमान को समायोजित करने के लिए एल्गोरिदम और प्रतिक्रिया तंत्र का उपयोग करता है।लक्ष्य को ओवरचार्जिंग जोखिमों को कम करते हुए बैटरी को पूरी क्षमता के करीब लाना है।यह चरण इष्टतम चार्जिंग दक्षता और सुरक्षा सुनिश्चित करने के लिए ऊर्जा इनपुट को ठीक करता है।
अंतिम चरण में, चार्जिंग सिस्टम एक निरंतर वोल्टेज को बनाए रखता है, जबकि करंट को शून्य से बंद करने की अनुमति देता है।जैसा कि बैटरी पूर्ण चार्ज के पास होती है, निरंतर वोल्टेज को बनाए रखने के लिए वर्तमान की आवश्यकता होती है।यह चरण सुनिश्चित करता है कि बैटरी पूरी तरह से ओवरचार्जिंग या नुकसान के बिना चार्ज की जाती है।
इस चरण में एक निरंतर वोल्टेज बनाए रखने से बैटरी को अपने चार्ज चक्र को सुरक्षित और कुशलता से पूरा करने की अनुमति मिलती है।चार्जिंग सिस्टम बैटरी के वोल्टेज और करंट की निगरानी करना जारी रखता है, जिससे वोल्टेज को स्थिर रखने के लिए वास्तविक समय समायोजन होता है।एक बार जब वर्तमान न्यूनतम स्तर या शून्य तक पहुंच जाता है, तो चार्जिंग प्रक्रिया पूरी हो जाती है, और बैटरी पूरी तरह से चार्ज हो जाती है।
यह अंतिम चरण बैटरी की चार्ज क्षमता और उपयोग के लिए तत्परता को अधिकतम करता है।पूरी प्रक्रिया में वोल्टेज और करंट को नियंत्रित करके, हाइब्रिड सीवीसीसी विधि बैटरी को चार्ज करने, प्रदर्शन को बढ़ाने और जीवनकाल का विस्तार करने के लिए एक विश्वसनीय और कुशल तरीका प्रदान करती है।
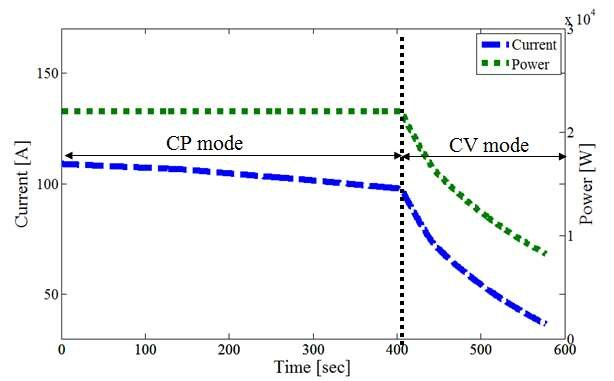
लगातार पावर चार्जिंग एक गतिशील दृष्टिकोण का उपयोग करता है।यह एक उच्च वर्तमान के साथ शुरू होता है जब बैटरी वोल्टेज कम होता है और वोल्टेज बढ़ने के साथ वर्तमान को कम करता है।यह विधि बैटरी की स्थिति के आधार पर बिजली वितरण को अपनाती है, चार्जिंग दक्षता को अधिकतम करती है और बैटरी तनाव को कम करती है।
लगातार पावर चार्जिंग एक ऐसी तकनीक है जिसका उपयोग मुख्य रूप से बैटरी को चार्ज करने के लिए किया जाता है जहां इनपुट पावर को चार्जिंग चक्र में स्थिर रखा जाता है।ऊर्जा, ऊर्जा हस्तांतरण की दर के रूप में परिभाषित, वोल्टेज (V) और वर्तमान (i) (p = V x i) को गुणा करके गणना की जाती है।इस विधि में, जैसे -जैसे बैटरी का वोल्टेज बढ़ता है, बिजली को स्थिर रखने के लिए वर्तमान को समायोजित किया जाता है।यह दृष्टिकोण प्रारंभिक चरणों का अनुकूलन करता है जब बैटरी ओवरहीटिंग या तनाव के बिना उच्च ऊर्जा हस्तांतरण दरों को सुरक्षित रूप से स्वीकार कर सकती है।

चित्रा 5: निरंतर वर्तमान बनाम निरंतर पावर चार्जिंग का ग्राफ
निरंतर पावर चार्जिंग निरंतर वर्तमान (सीसी) और निरंतर वोल्टेज (सीवी) चार्जिंग जैसे अधिक सामान्य तरीकों से अलग है।निरंतर वर्तमान चार्जिंग में, चार्जर वोल्टेज में बदलाव के रूप में बैटरी को एक स्थिर वर्तमान देता है।यह पहली बार में अच्छी तरह से काम करता है, लेकिन कम कुशल हो जाता है क्योंकि बैटरी फुलर हो जाती है, बहुत अधिक वोल्टेज का कारण बन सकती है और बैटरी को तनाव दे सकती है।
लगातार वोल्टेज चार्जिंग चार्जर को एक निश्चित वोल्टेज पर सेट करता है, और बैटरी भरने के साथ -साथ करंट कम हो जाता है।यह ओवरचार्जिंग से बचने में मदद करता है और वोल्टेज सीमा पर जाने के बिना पूरी तरह से बैटरी चार्ज सुनिश्चित करता है।
लगातार पावर चार्जिंग दोनों तरीकों के अच्छे बिंदुओं को संयोजित करने की कोशिश करती है।यह बिजली के स्तर को स्थिर रखने के लिए वर्तमान और वोल्टेज दोनों को समायोजित करता है।यह बैटरी को पहली बार में जल्दी से चार्ज कर सकता है, जैसे निरंतर वर्तमान की तरह, और फिर धीमा हो जाता है जैसे कि बैटरी वोल्टेज बढ़ता है, जैसे निरंतर वोल्टेज।यह विधि बैटरी पर तनाव को प्रबंधित करने में मदद करती है, जिससे यह उन चीजों के लिए एक अच्छा विकल्प बन जाता है, जिन्हें फास्ट चार्जिंग और लंबी बैटरी जीवन की आवश्यकता होती है, जैसे इलेक्ट्रिक कार और उच्च क्षमता वाले उपकरण।
निरंतर शक्ति निरंतर वोल्टेज (CPCV) दो तरीकों को जोड़ती है: निरंतर वोल्टेज (CV) और निरंतर शक्ति (CP)।सीवी मोड में, चार्जर बैटरी को ओवरचार्ज करने से बचने के लिए वोल्टेज को स्थिर रखता है, जब यह लगभग भरा हुआ है।सीपी मोड में, शुरुआत में उपयोग किया जाता है, चार्जर बैटरी की गर्मी और तनाव को प्रबंधित करते हुए, फास्ट चार्जिंग के लिए निरंतर दर पर बिजली देता है।
यह विधि बैटरी वोल्टेज कम होने पर उच्च धाराओं में तेजी से ऊर्जा देने के लिए निरंतर शक्ति के साथ शुरू होती है।जैसा कि बैटरी पूर्ण चार्ज के पास होती है, यह प्रक्रिया को परिष्कृत करने और ओवरवॉल्टेज को रोकने के लिए निरंतर वोल्टेज चार्जिंग में बदल जाती है।यह रणनीति अंतिम चार्जिंग चरणों को अनुकूलित करने से पहले, दक्षता और सुरक्षा सुनिश्चित करने से पहले पर्याप्त क्षमता तक बैटरी को चार्ज करने के लिए प्रभावी है।
CPCV विभिन्न प्रकार की बैटरी के साथ काम करता है, जैसे लिथियम-आयन, जिसे सावधानीपूर्वक चार्ज करने की आवश्यकता होती है।सिस्टम बैटरी के चार्ज स्तर और अन्य कारकों के आधार पर सीपी और सीवी के बीच स्विच करता है।

चित्रा 6: निरंतर शक्ति निरंतर वोल्टेज (CPCV) चार्जिंग का ग्राफ
CPCV (लगातार पावर कॉन्स्टेंट वोल्टेज) चार्जिंग लिथियम-आयन (ली-आयन) और लिथियम-पॉलीमर (लिपो) बैटरी के लिए फायदेमंद है।ये बैटरी प्रकार आधुनिक उच्च तकनीक वाले उपकरणों में आम हैं।CPCV चार्जिंग एक निरंतर शक्ति चरण के साथ शुरू होती है, जहां बैटरी जल्दी से उच्च वोल्टेज स्तरों को बहुत जल्द मारने के बिना बहुत अधिक ऊर्जा को अवशोषित करती है।एक बार जब बैटरी एक निश्चित वोल्टेज तक पहुंच जाती है, तो चार्जिंग एक निरंतर वोल्टेज चरण में बदल जाती है, वोल्टेज को बैटरी को तनाव या ओवरहीट किए बिना चार्जिंग प्रक्रिया को सुरक्षित रूप से पूरा करने के लिए स्थिर रखती है।
• स्मार्टफोन और टैबलेट: इन गैजेट्स को बैटरी जीवन और प्रदर्शन को बढ़ाने के लिए तेज और कुशल चार्जिंग की आवश्यकता होती है।
• लैपटॉप: स्मार्टफोन के समान, लैपटॉप त्वरित अभी तक सुरक्षित चार्जिंग से लाभान्वित होते हैं, बैटरी पावर पर लंबे समय तक उपयोग के लिए बैटरी स्वास्थ्य को बनाए रखने में मदद करता है।
• इलेक्ट्रिक वाहन (ईवीएस): ईवीएस में बड़े बैटरी पैक होते हैं जो सीपीसीवी चार्जिंग से लाभान्वित होते हैं।विधि प्रक्रिया को सुरक्षित रूप से समाप्त करने के लिए निरंतर वोल्टेज पर स्विच करने से पहले बैटरी को उच्च स्तर तक ले जाती है।
• पावर टूल: पावर टूल्स में उच्च क्षमता वाली बैटरी को सीपीसीवी के साथ तेजी से और सुरक्षित रूप से रिचार्ज किया जा सकता है, डाउनटाइम को कम करना और यह सुनिश्चित करना कि उपकरण उपयोग के लिए तैयार हैं।
पल्स चार्जिंग एक ऐसी विधि है जिसका उपयोग उच्च धारा के फटने से बैटरी को चार्ज करने के लिए किया जाता है, इसके बाद कोई वर्तमान या संक्षिप्त डिस्चार्ज नहीं होता है।पारंपरिक तरीकों के विपरीत, जो वर्तमान की एक निरंतर धारा का उपयोग करते हैं, पल्स चार्जिंग में चार्जिंग और आराम करने के चक्र शामिल हैं।इस तकनीक का उद्देश्य जैविक प्रणालियों में पाई जाने वाली प्राकृतिक चार्जिंग प्रक्रियाओं को दोहराना है, जो ऊर्जा इनपुट और बैटरी की रासायनिक स्थिरता के बीच संतुलन का अनुकूलन करना है।
इस विधि को विभिन्न बैटरी प्रकारों के लिए सिलवाया जा सकता है, जैसे कि लीड-एसिड, निकेल-कैडमियम (एनआईसीडी), निकेल-मेटल हाइड्राइड (एनआईएमएच), और लिथियम-आयन बैटरी।प्रत्येक प्रकार को पल्स स्ट्रेंथ, अवधि और बाकी अवधि में भिन्नता सहित अद्वितीय पल्स कॉन्फ़िगरेशन की आवश्यकता हो सकती है।
पल्स एक बड़ा लाभ चार्ज करना यह है कि यह लिथियम-आयन बैटरी में डेंड्राइट्स के गठन को कम करता है।डेंड्राइट्स सुई जैसी संरचनाएं हैं जो चार्जिंग के दौरान बन सकती हैं और शॉर्ट सर्किट का कारण बन सकती हैं, बैटरी जीवन और सुरक्षा को कम कर सकती हैं।पल्स चार्जिंग की स्टॉप-एंड-स्टार्ट प्रकृति यह नियंत्रित करने में मदद करती है कि कैसे इलेक्ट्रोड पर लिथियम जमा होता है, जिससे डेंड्राइट्स के जोखिम को कम किया जाता है।
पल्स चार्जिंग चार्जिंग के दौरान गर्मी उत्पादन को कम करके बैटरी प्रदर्शन और जीवनकाल में सुधार कर सकती है।यह बैटरी को सही तापमान पर रखने में मदद करता है, अपनी क्षमता को संरक्षित करता है और अपने जीवन का विस्तार करता है।यह इलेक्ट्रिक वाहनों और पोर्टेबल इलेक्ट्रॉनिक डिवाइस में उच्च क्षमता वाली बैटरी के लिए महत्वपूर्ण है।
पल्स चार्जिंग बैटरी को नुकसान पहुंचाए बिना चार्जिंग प्रक्रिया को भी तेज कर सकती है।यह निरंतर वर्तमान चार्जिंग की तुलना में तेजी से ऊर्जा बहाली की अनुमति देता है, और उन अनुप्रयोगों के लिए सहायक होता है, जिन्हें आपातकालीन बिजली प्रणालियों की तरह या छोटे ऑटोमोटिव स्टॉप के दौरान त्वरित रिचार्ज समय की आवश्यकता होती है।

चित्र 7: लिथियम आयन बैटरी की पल्स चार्जिंग
पल्स चार्जिंग बैटरी को चार्ज करने के लिए एक उन्नत विधि है जिसका उद्देश्य निकेल-कैडमियम (एनआईसीडी), निकेल-मेटल हाइड्राइड (एनआईएमएच), और लिथियम-आयन (ली-आयन) कोशिकाओं जैसे रिचार्जेबल बैटरी की दक्षता और जीवनकाल में सुधार करना है।पारंपरिक निरंतर प्रत्यक्ष वर्तमान (डीसी) चार्जिंग के विपरीत, पल्स चार्जिंग कम, नियंत्रित फट या दालों में चार्ज डिलीवर करता है।यह विधि चार्जिंग प्रक्रिया का अनुकूलन करती है और एनआईसीडी बैटरी में ओवरहीटिंग और "मेमोरी इफेक्ट" जैसे सामान्य बैटरी मुद्दों को संबोधित करती है।
पल्स चार्जिंग एक संक्षिप्त अवधि के लिए बैटरी के लिए एक उच्च धारा को लागू करने के लिए रुक -रुक कर काम करता है, इसके बाद कोई वर्तमान अवधि नहीं होती है।ये दालें शेष अवधि के दौरान गर्मी को भंग करने की अनुमति देकर बैटरी पर समग्र थर्मल तनाव को कम करती हैं, जिससे तापमान में वृद्धि और संभावित क्षति को कम किया जाता है।
पल्स चार्जर दो मुख्य प्रकार के दालों का उपयोग करते हैं:
• चार्ज दालें: उच्च वर्तमान दालें जो तेजी से बैटरी को चार्ज करती हैं।इन दालों की आयाम, अवधि और आवृत्ति बैटरी प्रकार और स्थिति के आधार पर भिन्न होती है।
• डिस्चार्ज दालों: कभी -कभी चार्ज दालों के साथ इंटरसेप्ट किया जाता है, ये बैटरी इलेक्ट्रोलाइट को विनाशकारी बनाने और एनआईसीडी बैटरी में मेमोरी प्रभाव को कम करने में मदद करते हैं।
चार्जर चार्जिंग दालों की अवधि और उनके बीच के अंतराल को प्रतिक्रिया तंत्र का उपयोग करके नियंत्रित करता है जो वोल्टेज और तापमान जैसे बैटरी मापदंडों की निगरानी करते हैं।यह प्रतिक्रिया चार्जर को चार्जिंग प्रक्रिया को समायोजित करने की अनुमति देती है, जिससे बैटरी की चार्ज स्वीकृति और समग्र स्वास्थ्य को बढ़ाया जाता है।
ट्रिकल चार्जिंग एक ऐसी तकनीक है जिसका उपयोग ओवरचार्जिंग से बचने के दौरान बैटरी को पूरी तरह से चार्ज करने के लिए किया जाता है।यह बैटरी में बिजली के एक छोटे, सुसंगत प्रवाह को वितरित करके काम करता है, इसकी प्राकृतिक स्व-निर्वहन दर से मेल खाता है।यह विधि उन उपकरणों के लिए उपयोगी है जो अक्सर उपयोग नहीं किए जाते हैं, यह सुनिश्चित करते हुए कि वे बैटरी के स्वास्थ्य को नुकसान पहुंचाए बिना चार्ज और तैयार रहें।
यह प्रक्रिया लंबे समय तक बैटरी के चार्ज को बनाए रखने के लिए एक न्यूनतम, निरंतर वर्तमान, आदर्श लागू होती है।धीमी गति से चार्ज दर बैटरी को स्वस्थ और उपयोग करने के लिए तैयार रखती है, यहां तक कि जब पूरी तरह से चार्ज किया जाता है।स्टैंडबाय बैटरी के लिए फायदेमंद होने के दौरान, यह NIMH और लिथियम-आयन बैटरी के लिए अनुशंसित नहीं है, क्योंकि वे लंबे समय तक निम्न-स्तरीय चार्जिंग से क्षतिग्रस्त हो सकते हैं।
ट्रिकल चार्जिंग का मुख्य लक्ष्य अनिश्चित काल के लिए इष्टतम चार्ज पर बैटरी रखना है।ट्रिकल चार्जिंग प्रक्रिया में बैटरी में बहने वाले विद्युत प्रवाह को सावधानीपूर्वक विनियमित करना शामिल है।चार्जर पहले यह तय करने के लिए बैटरी के वोल्टेज की जांच करता है कि कितना वर्तमान प्रदान करना है।यदि वोल्टेज लक्ष्य से नीचे है, तो चार्जर इसे रिचार्ज करने के लिए एक उच्च धारा की आपूर्ति करता है।एक बार लक्ष्य वोल्टेज तक पहुंचने के बाद, चार्जर एक निचले, स्थिर वर्तमान में स्विच करता है जो बैटरी की स्व-निर्वहन दर से मेल खाता है।यह दृष्टिकोण बैटरी को ओवरचार्जिंग के जोखिम के बिना पूरी तरह से चार्ज करता है, अपने जीवन और प्रदर्शन को बढ़ाता है।

चित्र 8: ट्रिकल बैटरी चार्जिंग
लीड-एसिड बैटरी: दोनों फ्लोट और पल्स चार्जिंग उपयुक्त हैं।फ्लोट चार्जिंग को अक्सर आपातकालीन प्रणालियों जैसे स्थिर उपयोगों के लिए पसंद किया जाता है।
निकेल-कैडमियम बैटरी: ये बैटरी पल्स और फ्लोट चार्जिंग दोनों का उपयोग कर सकती हैं, जब ओवरचार्जिंग एक चिंता का विषय है।
लिथियम-आयन बैटरी: ये ओवरचार्जिंग के लिए उनकी संवेदनशीलता के कारण ट्रिकल या फ्लोट चार्जिंग के लिए अनुकूल नहीं हैं।पल्स चार्जिंग, नियंत्रित फटने और उपयुक्त सर्किटरी के साथ, लिथियम-आयन बैटरी की रक्षा और बनाए रखने के लिए बेहतर अनुकूल है।
मल्टी-स्टेज कॉन्स्टेंट करंट (MCC) चार्जिंग बैटरी कोशिकाओं, विशेष रूप से लिथियम-आयन और लीड-एसिड बैटरी को चार्ज करने के लिए एक उन्नत तकनीक है।इस विधि में निरंतर वर्तमान चार्जिंग के अलग -अलग चरण शामिल हैं, जिनमें से प्रत्येक बैटरी के चार्ज चक्र के विभिन्न चरणों के अनुरूप है।MCC चार्जिंग का मुख्य लक्ष्य चार्जिंग प्रक्रिया के विभिन्न चरणों के दौरान दिए गए वर्तमान को समायोजित करके बैटरी स्वास्थ्य और दीर्घायु को बढ़ाना है।
पहले चरण में, बैटरी को अपनी क्षमता के एक हिस्से में तेजी से चार्ज करने के लिए एक उच्च स्थिर वर्तमान लागू किया जाता है।यह चरण, जिसे बल्क चार्जिंग के रूप में जाना जाता है, कुशलता से बैटरी के चार्ज स्तर को बढ़ाता है।
जैसे ही बैटरी कुछ वोल्टेज थ्रेसहोल्ड तक पहुंचती है, चार्जिंग सिस्टम कम धाराओं के साथ चरणों में बदल जाता है।ये चरण महीन नियंत्रण प्रदान करते हैं, ओवरचार्जिंग को रोकते हैं और बैटरी कोशिकाओं पर तनाव को कम करते हैं।यह सावधान मॉड्यूलेशन बैटरी के जीवनकाल और दक्षता को बनाए रखने में मदद करता है।

चित्र 9: मल्टी-स्टेज कॉन्स्टेंट करंट (MCC) चार्जिंग का ग्राफ
|
पहलू |
एमसीसी चार्जिंग |
|
बैटरी
स्वास्थ्य |
चार्जिंग के दौरान तनाव को कम करता है |
|
मौजूदा
समायोजन |
बैटरी के चार्ज स्तर के आधार पर समायोजित करता है |
|
overheating
रोकथाम |
चार्ज के रूप में वर्तमान को कम करता है
ओवरहीटिंग को रोकें |
|
बैटरी
लंबी उम्र |
समग्र स्वास्थ्य और दीर्घायु को बढ़ाता है |
|
तापमान
प्रबंध |
इष्टतम श्रेणियों के भीतर तापमान रखता है |
|
वोल्टेज
प्रबंध |
अत्यधिक वोल्टेज तनाव को रोकता है |
|
क्षमता |
बिना बलिदान के जल्दी से शुल्क
सुरक्षा |
|
क्षमता
और स्थिरता |
उच्च क्षमता और स्थिरता बनाए रखता है
जीवनकाल से अधिक |
|
आवेदन
उपयुक्तता |
विभिन्न अनुप्रयोगों के लिए उपयुक्त
(इलेक्ट्रॉनिक्स, वाहन) |
टेंपर करंट चार्जिंग, निरंतर वोल्टेज विधि से प्राप्त, बैटरी वोल्टेज के बढ़ने के साथ चार्जिंग करंट को कम कर देता है।इस सरल विधि को गिरावट या विफलता से बचने के लिए, विशेष रूप से सील लीड-एसिड बैटरी में ओवरचार्जिंग को रोकने के लिए सावधानीपूर्वक निगरानी की आवश्यकता होती है।
जैसा कि बैटरी चार्ज करती है, इसका आंतरिक प्रतिरोध बढ़ता है और उच्च तापमान और संभावित नुकसान का कारण बन सकता है यदि प्रारंभिक उच्च चार्जिंग करंट को समान रखा जाता है।करंट को कम करते हुए, चार्जर यह सुनिश्चित करता है कि बैटरी कम करंट हो जाए क्योंकि यह अधिक चार्ज करती है, जिससे बैटरी के जीवनकाल को ओवरहीट करने और बढ़ाने का जोखिम कम हो जाता है।
अन्य बैटरी चार्जिंग विधियों की तुलना में, टेपर करंट चार्जिंग सरल और अक्सर सुरक्षित है।यह पल्स चार्जिंग या निरंतर वर्तमान/निरंतर वोल्टेज (CC/CV) जैसी अधिक जटिल तकनीकों से अलग है जो लिथियम-आयन बैटरी के लिए उपयोग किया जाता है।वे तरीके बैटरी को तेजी से और अधिक कुशलता से चार्ज कर सकते हैं लेकिन चार्जिंग प्रक्रिया को सुरक्षित रूप से नियंत्रित करने के लिए अधिक उन्नत प्रणालियों की आवश्यकता होती है।
रिफ्लेक्स या नेगेटिव पल्स चार्जिंग के रूप में भी जाना जाता है, BURP चार्जिंग में चार्जिंग रेस्ट्स के दौरान संक्षिप्त डिस्चार्ज दाल शामिल हैं।BURP चार्जिंग एक विधि है जिसका उपयोग निकल-आधारित बैटरी की दीर्घायु और दक्षता को बढ़ाने के लिए किया जाता है, जैसे कि निकल-कैडमियम (NICD) और निकल-मेटल हाइड्राइड (NIMH) बैटरी।इस तकनीक में संक्षिप्त डिस्चार्ज दालों के साथ चार्जिंग प्रक्रिया को संक्षेप में बाधित करना शामिल है।ये संक्षिप्त डिस्चार्ज गैस बुलबुले को छोड़ते हैं जो सामान्य चार्जिंग के दौरान बैटरी कोशिकाओं में जमा होते हैं।यह रिलीज़, जिसे अक्सर "बर्पिंग" कहा जाता है, दबाव बिल्डअप को रोकता है और मेमोरी प्रभाव को कम करता है, एक ऐसी स्थिति जो बैटरी की क्षमता और जीवनकाल को कम कर सकती है यदि इसे बार -बार पूरी तरह से डिस्चार्ज किए बिना रिचार्ज किया जाता है।

चित्रा 10: BURP चार्जिंग आरेख
यहां बताया गया है कि यह कैसे काम करता है और यह क्यों फायदेमंद है:
चार्ज करते समय, ये बैटरी बिजली के प्रवाह को अवरुद्ध करते हुए, अपने इलेक्ट्रोड पर गैस बुलबुले बना सकती हैं।BURP चार्जिंग में कम डिस्चार्ज, या "Burps" शामिल हैं, जो इन बुलबुले को पॉप करने में मदद करते हैं, जिससे बिजली आसानी से बहती है।
संक्षिप्त डिस्चार्ज बैटरी के आंतरिक वातावरण को स्थिर रखने में मदद करते हैं।गैस बिल्डअप और आंतरिक दबाव को कम करते हुए, BURP चार्जिंग बैटरी के भीतर चार्ज का अधिक वितरण सुनिश्चित करता है।
BURP चार्जिंग ओवरचार्जिंग और ओवरहीटिंग के जोखिम को कम करता है, पारंपरिक चार्जिंग विधियों के साथ सामान्य समस्याएं।यह चार्जिंग प्रक्रिया को तेज करता है और बैटरी को पूरी तरह से और समान रूप से सुनिश्चित करता है।
गैस बिल्डअप और ओवरहीटिंग को रोकने से, Burp चार्जिंग बैटरी के आंतरिक घटकों को बनाए रखने में मदद करता है।यह बैटरी के लिए एक लंबा जीवनकाल की ओर जाता है।
IUI चार्जिंग फास्ट चार्जिंग स्टैंडर्ड बाढ़-सीसा-एसिड बैटरी के लिए एक आधुनिक तरीका है।इसमें तीन चरण शामिल होते हैं: एक प्रारंभिक निरंतर वर्तमान चरण जब तक एक सेट वोल्टेज तक नहीं पहुंच जाता है, एक निरंतर वोल्टेज चरण जहां वर्तमान एक और पूर्व निर्धारित स्तर तक घटता है, और एक अंतिम वर्तमान में एक अंतिम वापसी।यह दृष्टिकोण सभी कोशिकाओं में भी चार्ज करना सुनिश्चित करता है, प्रदर्शन और जीवनकाल को अधिकतम करता है।
IUI चार्जिंग विधि मानक बाढ़ वाले लीड-एसिड बैटरी के लिए फायदेमंद है क्योंकि यह सुनिश्चित करता है कि सभी कोशिकाओं में भी चार्ज करना, इष्टतम प्रदर्शन बनाए रखने और बैटरी के समग्र जीवनकाल का विस्तार करने के लिए अच्छा है।IUI चार्जिंग वर्तमान और वोल्टेज को ओवरचार्जिंग या अंडरचार्जिंग को रोकने के लिए, बैटरी की विफलता के जोखिम को कम करने के लिए नियंत्रित करता है।यह चार्जिंग समय को भी कम कर देता है, जिससे यह कई उपयोगों के लिए कुशल और व्यावहारिक हो जाता है।

चित्र 11: IUI चार्जिंग आरेख
फ्लोट चार्जिंग एक ऐसी तकनीक है जिसका उपयोग मुख्य रूप से आपातकालीन बिजली प्रणालियों में सीसा-एसिड बैटरी के साथ किया जाता है।इस विधि में बैटरी और लोड को एक निरंतर वोल्टेज स्रोत से जोड़ना शामिल है।वोल्टेज को बैटरी की अधिकतम क्षमता के ठीक नीचे रखा गया है।वोल्टेज का यह सावधान नियंत्रण ओवरचार्जिंग को रोकता है और यह सुनिश्चित करता है कि बैटरी हमेशा उपयोग के लिए तैयार हो।
व्यावहारिक रूप से, फ्लोट चार्जिंग ओवरचार्जिंग के जोखिम के बिना बैटरी को पूरी तरह से तैयार रखता है।निरंतर वोल्टेज स्रोत बैटरी के प्राकृतिक स्व-डिस्चार्ज को बंद कर देता है, जो एक इष्टतम स्तर पर अपना चार्ज रखता है।यह विधि उन प्रणालियों के लिए बहुत उपयोगी है जहां बैटरी को किसी भी क्षण तैयार होने की आवश्यकता है, जैसे कि निर्बाध बिजली आपूर्ति (यूपीएस), आपातकालीन प्रकाश व्यवस्था और स्टैंडबाय जनरेटर।
फ्लोट चार्जिंग का उपयोग करने से बैटरी की विश्वसनीयता को बनाए रखने में मदद मिलती है, जिससे यह सुनिश्चित होता है कि यह आवश्यकता पड़ने पर बिजली प्रदान कर सकता है।यह लगातार रखरखाव और निगरानी की आवश्यकता को भी कम करता है, जिससे यह आपातकालीन बिजली प्रणालियों को तैयार रखने के लिए एक व्यावहारिक और कुशल तरीका है।

चित्र 12: फ्लोट चार्जिंग आरेख
रैंडम चार्जिंग एक ऐसी विधि है जिसका उपयोग तब किया जाता है जब बिजली की आपूर्ति अविश्वसनीय होती है या बहुत बदल जाती है।यह अक्सर मौसम से प्रभावित इंजन की गति या सौर पैनलों के साथ वाहनों जैसी स्थितियों में होता है।
वाहनों में, इंजन की गति बहुत भिन्न हो सकती है, जिससे अनियमित पावर आउटपुट होता है जो बैटरी के लिए ठीक से चार्ज करने के लिए कठिन बनाता है।इसी तरह, सौर पैनल सूर्य के प्रकाश के आधार पर बिजली का उत्पादन करते हैं, और बादलों या दिन के समय के कारण जल्दी से बदल सकते हैं।ये बदलाव बैटरी पर बहुत अधिक तनाव डाल सकते हैं यदि सही नहीं हैं।
इन मुद्दों से निपटने के लिए, यादृच्छिक चार्जिंग चर चार्जिंग स्थितियों का प्रबंधन करने के लिए विशेष तकनीकों का उपयोग करता है।इनमें उन्नत एल्गोरिदम और स्मार्ट चार्जिंग सिस्टम शामिल हैं जो वास्तविक समय में बिजली की आपूर्ति परिवर्तनों को समायोजित करते हैं।इनपुट पावर की निरंतर निगरानी और चार्जिंग प्रक्रिया को अपनाने के साथ, ये सिस्टम बैटरी को उतार -चढ़ाव से होने वाली क्षति से बचाते हैं।
रैंडम चार्जिंग यह भी सुनिश्चित करती है कि बैटरी अच्छी तरह से काम करती है और एक असंगत शक्ति स्रोत के साथ भी लंबे समय तक रहती है।यह बिजली की वृद्धि के दौरान ओवरचार्जिंग को रोकता है और सुनिश्चित करता है कि पावर में बूंदों के दौरान पर्याप्त चार्जिंग है।

चित्रा 13: यादृच्छिक चार्जिंग के लिए ग्राफ
बैटरी को चार्ज करने के विभिन्न तरीकों की खोज से पता चलता है कि आधुनिक उपकरणों और प्रणालियों की बढ़ती जरूरतों को पूरा करने के लिए बैटरी तकनीक में सुधार करना कितना महत्वपूर्ण है।निरंतर वोल्टेज और निरंतर वर्तमान जैसे बुनियादी तरीके, साथ ही हाइब्रिड सीवीसीसी और निरंतर पावर चार्जिंग जैसी अधिक उन्नत तकनीकें, प्रत्येक के अपने फायदे हैं और विशिष्ट प्रकार की बैटरी और उपयोगों के लिए सबसे अच्छे हैं।इलेक्ट्रोड, बैटरी प्रबंधन प्रणालियों और स्मार्ट तकनीक के उपयोग के लिए सामग्री में प्रगति बैटरी को बेहतर और सुरक्षित बनाने के लिए महत्वपूर्ण है।बैटरी चार्जिंग का भविष्य इन तकनीकों को विकसित करने और उपयोग करने पर निर्भर करता है ताकि वे यह सुनिश्चित कर सकें कि वे टिकाऊ, कुशल और विश्वसनीय हैं।
स्लो चार्जिंग: यह विधि आवासीय सेटिंग्स में पाई जाने वाली मानक एसी (वैकल्पिक वर्तमान) शक्ति का उपयोग करती है।चार्जर्स कम बिजली के स्तर (3 किलोवाट तक) पर काम करते हैं, जो इसे रात भर चार्ज करने के लिए उपयुक्त बनाते हैं।
फास्ट चार्जिंग: फास्ट चार्जर एसी पावर (22 किलोवाट तक) के उच्च स्तर का उपयोग करते हैं और सार्वजनिक चार्जिंग स्टेशनों में पाए जाते हैं।वे धीमी गति से चार्जर की तुलना में तेजी से एक इलेक्ट्रिक वाहन (ईवी) बैटरी चार्ज कर सकते हैं, आमतौर पर कुछ घंटों के भीतर।
रैपिड चार्जिंग: ये सबसे तेज चार्जर उपलब्ध हैं, जो डीसी (डायरेक्ट करंट) पावर का उपयोग करते हैं।वे एक घंटे के भीतर ईवी की अधिकांश बैटरी क्षमता को बिजली दे सकते हैं।बिजली का स्तर लगभग 50 kW से शुरू होता है और सबसे उन्नत प्रणालियों के लिए 350 kW तक जा सकता है।
प्रति मिनट चार्जिंग: यह मूल्य निर्धारण संरचना उपयोगकर्ताओं को चार्जर से जुड़े समय की मात्रा के आधार पर चार्ज करती है, भले ही बिजली की मात्रा की मात्रा हो।
प्रति kWh चार्जिंग: यह एक उपयोग-आधारित मूल्य निर्धारण मॉडल है जहां उपयोगकर्ताओं को किलोवाट-घंटे में अपने वाहन द्वारा खपत बिजली के आधार पर बिल किया जाता है।इस पद्धति को उचित माना जाता है क्योंकि यह सीधे उपयोग की जाने वाली ऊर्जा से संबंधित है।
फ्लैट दर चार्जिंग: कुछ चार्जिंग स्टेशन एक निर्दिष्ट चार्जिंग विंडो के लिए एक फ्लैट दर प्रदान करते हैं, जैसे कि एक घंटे या एक दिन, और लंबे समय तक स्टॉप के लिए फायदेमंद हो सकते हैं।
मोड 1 चार्जिंग: यह ईवी चार्जिंग का सबसे सरल रूप है, जहां वाहन सीधे किसी विशेष उपकरण के बिना एक मानक घरेलू विद्युत आउटलेट से जुड़ा हुआ है।यह धीमा है और छोटे वाहनों या रात भर के घर के चार्ज के लिए उपयोग किया जाता है।
मोड 2 चार्जिंग: इस मोड में एक मानक विद्युत आउटलेट से चार्जिंग भी शामिल है, लेकिन इसमें अंतर्निहित सुरक्षा उपकरण के साथ एक केबल शामिल है।यह डिवाइस बिजली के झटके और अन्य संभावित विद्युत खतरों के खिलाफ सुरक्षा उपाय करता है, जिससे यह मोड 1 और अधिक बहुमुखी की तुलना में सुरक्षित हो जाता है।
चरम चार्जिंग से बचें: नियमित रूप से बैटरी को 100% तक चार्ज न करें या इसे 0% तक नाली दें।20% और 80% के बीच चार्ज रखें।
नियंत्रण तापमान: बैटरी मध्यम तापमान में सबसे अच्छा काम करती है।अत्यधिक ठंड या गर्मी के लिए बैटरी को उजागर करने से बचें।
निर्माता-अनुशंसित चार्जर्स का उपयोग करें: बैटरी को नुकसान पहुंचाने से बचने के लिए वाहन निर्माता द्वारा अनुशंसित चार्जिंग उपकरण का उपयोग करें।
नियमित उपयोग और रखरखाव: नियमित उपयोग और समय पर रखरखाव की जाँच बैटरी स्वास्थ्य को बनाए रखने में मदद करती है।निष्क्रियता की लंबी अवधि बैटरी के प्रदर्शन को कम कर सकती है।
चार्जिंग स्पीड: फास्ट चार्जिंग सुविधाजनक है लेकिन बैटरी पर जोर दे सकती है।बैटरी जीवन का विस्तार करने के लिए दैनिक उपयोग के लिए धीमी या मध्यम चार्जिंग गति बेहतर होती है।
तापमान नियंत्रण: एक नियंत्रित वातावरण में चार्ज करना जहां तापमान मध्यम है, बैटरी के स्वास्थ्य और दक्षता को संरक्षित करने में मदद करता है।
चार्जिंग रेंज: नियमित उपयोग के दौरान 20% और 80% के बीच बैटरी की स्थिति को रखने से इसकी दीर्घायु और प्रदर्शन को प्रभावित किया जा सकता है।
कृपया एक जांच भेजें, हम तुरंत जवाब देंगे।
2025/11/3 पर
2025/10/31 पर
8000/04/18 पर 147758
2000/04/18 पर 111941
1600/04/18 पर 111349
0400/04/18 पर 83721
1970/01/1 पर 79508
1970/01/1 पर 66914
1970/01/1 पर 63065
1970/01/1 पर 63012
1970/01/1 पर 54081
1970/01/1 पर 52135