
चित्रा 1: सर्किट में वर्तमान अनुपात
समानांतर सर्किट में, प्रत्येक शाखा के प्रतिरोध के आधार पर विभिन्न शाखाओं के बीच वर्तमान विभाजन होता है।यह अवधारणा वोल्टेज डिवाइडर से मिलती जुलती है, लेकिन इसके बजाय धाराओं पर लागू होती है।सर्किट में किसी भी अवरोधक के माध्यम से प्रवाहित होने वाला वर्तमान, जैसे कि R1 की तुलना में R1, एक निश्चित अनुपात रखता है, भले ही स्रोत वोल्टेज बदल जाता है।उदाहरण के लिए, यदि R1 के माध्यम से वर्तमान हमेशा R3 से दोगुना होता है, तो यह अनुपात स्रोत वोल्टेज में उतार -चढ़ाव की परवाह किए बिना स्थिर रहता है।इस अनुमानित व्यवहार को ओम के कानून द्वारा समझाया गया है, जिसमें कहा गया है कि एक समानांतर सर्किट में एक रोकनेवाला के माध्यम से वर्तमान इसके प्रतिरोध के विपरीत आनुपातिक है।
समानांतर सर्किट वर्तमान डिवाइडर के रूप में काम करते हैं, स्रोत से कुल वर्तमान को उन भागों में विभाजित करते हैं जो प्रतिरोधों से विपरीत रूप से संबंधित हैं।यह गणितीय रूप से व्यक्त किया जा सकता है
कहाँ
रोकनेवाला के माध्यम से वर्तमान है
और
सभी समानांतर घटकों में निरंतर वोल्टेज है।इस संबंध से पता चलता है कि एक समानांतर सर्किट में वर्तमान विभाजन न केवल प्रतिरोध मूल्यों पर निर्भर करता है, बल्कि वर्तमान संरक्षण के सिद्धांत पर भी निर्भर करता है, जो यह तय करता है कि जंक्शन में प्रवेश करने वाला कुल वर्तमान कुल वर्तमान को छोड़ने के बराबर होता है।

चित्र 2: वर्तमान विभक्त सूत्र
वर्तमान डिवाइडर फॉर्मूला समानांतर प्रतिरोधक सर्किट में वर्तमान प्रवाह का विश्लेषण करने के लिए इलेक्ट्रिकल इंजीनियरिंग में एक मौलिक अवधारणा है।यह दर्शाता है कि एक समानांतर सर्किट में किसी भी शाखा के माध्यम से वर्तमान सभी शाखाओं के कुल प्रतिरोध की तुलना में उस शाखा के प्रतिरोध के विपरीत आनुपातिक है।यह यह निर्धारित करने की प्रक्रिया को सरल बनाने में मदद करता है कि एक सर्किट में विभिन्न मार्गों के बीच वर्तमान कैसे वितरित किया जाता है।
इस मात्रात्मक रूप से व्यक्त करने के लिए, एक समानांतर सर्किट में एक रोकनेवाला के माध्यम से वर्तमान का उपयोग करके गणना की जाती है:

यहाँ,
समानांतर नेटवर्क में प्रवेश करने वाला कुल वर्तमान है,
समानांतर नेटवर्क के बराबर प्रतिरोध है, और
प्रत्येक शाखा के प्रतिरोध का प्रतिनिधित्व करता है।, द्वारा गणना:

यह सूत्र इंजीनियरों और तकनीशियनों के लिए आवश्यक है क्योंकि यह उन्हें प्रत्येक घटक में वोल्टेज को मापने के बिना एक समानांतर सर्किट की किसी भी शाखा में वर्तमान की भविष्यवाणी करने की अनुमति देता है।गणना को सरल बनाने से परे, यह वांछित वर्तमान विशेषताओं के साथ सर्किट को डिजाइन करने में मदद करता है।यह अनुकूलन बिजली की आपूर्ति जैसी प्रणालियों के प्रदर्शन को बढ़ाने और यह सुनिश्चित करने के लिए गतिशील है कि यह सुनिश्चित करें कि घटक उनकी वर्तमान सीमाओं के भीतर संचालित होते हैं।

चित्र 3: वर्तमान विभक्त और वोल्टेज डिवाइडर सूत्र
वोल्टेज और वर्तमान डिवाइडर समीकरणों के बीच अंतर और समानता को समझना गलतियों को गलत तरीके से लागू करने जैसी गलतियों को रोकने में मदद कर सकता है।दोनों सूत्र अपने प्रतिरोधों के आधार पर घटकों में कुल इनपुट (वर्तमान या वोल्टेज) वितरित करते हैं, लेकिन वे विभिन्न परिस्थितियों में काम करते हैं और प्रतिरोध के लिए अलग -अलग दृष्टिकोणों का उपयोग करते हैं।
वर्तमान डिवाइडर फॉर्मूला का उपयोग समानांतर सर्किट में किसी विशेष शाखा के माध्यम से करंट को खोजने के लिए किया जाता है।यह दर्शाता है कि एक शाखा में वर्तमान कुल समानांतर प्रतिरोध की तुलना में इसके प्रतिरोध के विपरीत आनुपातिक है।इसका मतलब है कि कम प्रतिरोध वाली शाखाएं कुल करंट का उच्च अनुपात ले जाएंगी।वोल्टेज डिवाइडर फॉर्मूला श्रृंखला सर्किट पर लागू होता है और एक विशिष्ट घटक में वोल्टेज की गणना करता है।यह इंगित करता है कि एक घटक के पार वोल्टेज कुल श्रृंखला प्रतिरोध की तुलना में इसके प्रतिरोध के लिए आनुपातिक है।इसलिए, उच्च प्रतिरोध वाले घटकों में कुल वोल्टेज ड्रॉप का एक बड़ा हिस्सा होगा।
दोनों सूत्र कुंजी के अनुपात बनाते हैं, एक से कम, डिवाइडर के रूप में उनके कार्य को उजागर करते हैं।वे मूल्यों को बढ़ाने के बजाय एक इनपुट (वर्तमान या वोल्टेज) को छोटे, आनुपातिक भागों में विभाजित करते हैं।यह पहचानना कि एक सर्किट श्रृंखला में है या सही सूत्र का उपयोग करने के लिए समानांतर की आवश्यकता है।यह अंतर यह निर्धारित करता है कि इनपुट को कैसे विभाजित किया जाता है - एक श्रृंखला पथ के साथ समानांतर पथ या वोल्टेज के बीच समतल।
इलेक्ट्रिक मीटर सर्किट में वर्तमान डिवाइडर की आवश्यकता होती है, जिससे विद्युत उपयोग को सटीक रूप से मापने के लिए वर्तमान प्रवाह का सटीक नियंत्रण सक्षम होता है।इन सर्किटों को अक्सर एक संवेदनशील उपकरण के माध्यम से वर्तमान के एक विशिष्ट अंश को निर्देशित करने की आवश्यकता होती है, जो वर्तमान डिवाइडर फॉर्मूला के साथ गणना किए गए शंट रोकनेवाला का उपयोग करके प्राप्त किया जाता है।
बड़ी धाराओं को मापने के लिए डिज़ाइन किए गए एक इलेक्ट्रिक मीटर पर विचार करें जो मानक उपकरण सीधे संभाल नहीं सकते हैं।मापने वाले उपकरण के साथ समानांतर में एक शंट रोकनेवाला रखकर, वर्तमान विभक्त सूत्र यह सुनिश्चित करता है कि मीटर के माध्यम से वर्तमान प्रवाह का केवल एक सुरक्षित, पूर्व निर्धारित अंश।

गणना में एक शंट रोकनेवाला मूल्य का चयन करना शामिल है, जो मीटर के प्रतिरोध के साथ संयुक्त है, उचित रूप से वर्तमान को विभाजित करता है।यहाँ,
कुल वर्तमान है,
मीटर का प्रतिरोध है, और
शंट रोकनेवाला का प्रतिरोध है।ध्यान से चुनकर
, इंजीनियर मीटर के माध्यम से प्रवाह को नियंत्रित कर सकते हैं, यह सुनिश्चित करते हुए कि यह कुल बिजली उपयोग गणना के लिए सटीक डेटा प्रदान करते हुए सुरक्षित परिचालन सीमाओं के भीतर बना रहे।

चित्र 4: वर्तमान डिवाइडर नियम
वर्तमान डिवाइडर नियम (CDR) का उपयोग करके समानांतर सर्किट में वर्तमान वितरण की गणना करने के लिए सटीकता और विश्वसनीयता सुनिश्चित करने के लिए एक व्यवस्थित दृष्टिकोण की आवश्यकता होती है।
चरण 1: सर्किट कॉन्फ़िगरेशन सत्यापित करें
सबसे पहले, पुष्टि करें कि सर्किट समानांतर में व्यवस्थित है।सीडीआर केवल समानांतर सर्किट पर लागू होता है जहां सभी घटकों में वोल्टेज समान है, लेकिन धाराएं प्रतिरोध मूल्यों के आधार पर भिन्न हो सकती हैं।
चरण 2: कुल वर्तमान निर्धारित करें
अगला, समानांतर सर्किट में प्रवेश करने वाले कुल वर्तमान को पहचानें।यह सीधे प्रयोगात्मक डेटा से मापा जा सकता है या ओम के कानून का उपयोग करके प्राप्त किया जा सकता है।यदि ओम के नियम का उपयोग करते हैं, तो सर्किट के समतुल्य प्रतिरोध द्वारा कुल वोल्टेज को विभाजित करके कुल वर्तमान की गणना करें।
चरण 3: समकक्ष प्रतिरोध की गणना करें
समानांतर शाखाओं के कुल प्रतिरोध की गणना करें।यह सभी व्यक्तिगत प्रतिरोधों के पारस्परिकता के योग के पारस्परिकता को खोजकर किया जाता है:
चरण 4: प्रत्येक शाखा के लिए वर्तमान की गणना करें
सर्किट में प्रत्येक शाखा के लिए, व्यक्तिगत धाराओं को निर्धारित करने के लिए सीडीआर सूत्र लागू करें:
कहाँ
शाखा का विश्लेषण किया जा रहा है।
चरण 5: कई शाखाओं के लिए दोहराएं
यदि सर्किट में कई शाखाएँ हैं, तो प्रत्येक के लिए गणना को दोहराएं।सुनिश्चित करें कि सभी प्रतिरोधों और धाराओं को सटीक रूप से जिम्मेदार ठहराया जाता है।
चरण 6: सत्यापित करें और मान्य करें
अंत में, गणना को सत्यापित करें कि सभी शाखाओं में धाराओं का योग सर्किट में प्रवेश करने वाले कुल वर्तमान के बराबर है।यह वर्तमान के संरक्षण के सिद्धांत के साथ संरेखित करता है।इसके अतिरिक्त, माप या व्याख्या में त्रुटियों को रोकने के लिए ग्रहण किए गए ध्रुवीयताओं और वर्तमान दिशाओं की पुष्टि करें।
वर्तमान डिवाइडर नियम (CDR) विभिन्न इलेक्ट्रिकल इंजीनियरिंग अनुप्रयोगों में सटीक वर्तमान वितरण के लिए आवश्यक है, प्रभावी सर्किट डिजाइन और प्रबंधन में एक महत्वपूर्ण भूमिका निभाते हैं।यह विशेष रूप से समानांतर सर्किट में असमान लोडिंग को संभालने में मूल्यवान है, जहां यह प्रत्येक शाखा में वर्तमान प्रवाह की सटीक भविष्यवाणियां प्रदान करता है।यह सुनिश्चित करता है कि घटक सही ढंग से रेट किए गए हैं और ओवरलोडिंग के जोखिम के बिना अपनी विशिष्ट धाराओं को संभाल सकते हैं, जो विभिन्न वर्तमान भारों का अनुभव करने वाली शाखाओं के साथ सर्किट में गंभीर है।इसके अतिरिक्त, सीडीआर सर्किट में बिजली अपव्यय को नियंत्रित करने में महत्वपूर्ण भूमिका निभाता है, जहां ओवरहीटिंग से नुकसान हो सकता है, बिजली आपूर्ति इकाइयों और मोटर नियंत्रण प्रणालियों जैसे उच्च-शक्ति अनुप्रयोगों की स्थिरता और दक्षता में सहायता कर सकता है।
CDR के कई शाखाओं के साथ जटिल सर्किट में भी फायदे हैं।यह इंजीनियरों को यह समझने में सक्षम बनाता है कि वर्तमान को विभिन्न रास्तों पर कैसे वितरित किया जाता है, जो सर्किट लेआउट को अनुकूलित करने और उपयुक्त घटकों का चयन करने के लिए फायदेमंद है।यह गहरी अंतर्दृष्टि यह सुनिश्चित करने में मदद करती है कि सर्किट का प्रत्येक भाग सुरक्षित सीमाओं के भीतर संचालित होता है, डिजाइन चरण के दौरान एक आवश्यकता, रखरखाव और समस्या निवारण।कुल मिलाकर, सीडीआर की धाराओं का पूर्वानुमान और प्रबंधन करने की क्षमता विद्युत प्रणालियों की विश्वसनीयता और सुरक्षा में महत्वपूर्ण योगदान देती है।

चित्र 5: प्रतिरोधक वर्तमान विभक्त
प्रतिरोधक वर्तमान डिवाइडर सर्किट इलेक्ट्रिकल इंजीनियरिंग में मौलिक हैं, यह दर्शाता है कि समानांतर सेटअप में धाराएं कैसे वितरित करती हैं।इन सर्किटों में आमतौर पर समानांतर में दो या दो से अधिक प्रतिरोधों को शामिल किया जाता है, प्रत्येक को कुल इनपुट करंट का एक हिस्सा मिलता है, जो तब स्रोत पर रिटर्न पॉइंट पर पुनर्संयोजन करता है।
प्रतिरोधक वर्तमान डिवाइडर का संचालन किरचॉफ के वर्तमान कानून पर निर्भर करता है, जिसमें कहा गया है कि एक जंक्शन में प्रवेश करने वाला कुल वर्तमान कुल वर्तमान को छोड़ देता है।यह सुनिश्चित करता है कि प्रत्येक समानांतर पथ के माध्यम से धाराओं का योग सर्किट में प्रवेश करने वाले प्रारंभिक वर्तमान के बराबर हो।
ओम का नियम इन सर्किटों में भी महत्वपूर्ण है, प्रत्येक रोकनेवाला के माध्यम से वर्तमान की गणना करने के लिए विधि प्रदान करता है।चूंकि एक समानांतर सर्किट में सभी प्रतिरोधों में वोल्टेज स्थिर है, ओम का नियम प्रत्येक शाखा में वर्तमान की आसान गणना के लिए अनुमति देता है:
कहाँवी प्रतिरोधों में वोल्टेज है, और आरएक्स एक विशिष्ट शाखा का प्रतिरोध है।
प्रतिरोधक वर्तमान विभक्त सर्किट वर्तमान विभाजन के सीधे उदाहरण हैं।व्यावहारिक रूप से, इन धाराओं को नियंत्रित करने के तरीके का विश्लेषण करना सर्किट डिजाइन करने के लिए आवश्यक है, जिन्हें विभिन्न घटकों के माध्यम से सटीक वर्तमान स्तर की आवश्यकता होती है।उदाहरण के लिए, उन प्रणालियों में जहां अलग -अलग घटकों को विशिष्ट रूप से कार्य करने के लिए विशिष्ट वर्तमान स्तरों की आवश्यकता होती है, एक प्रतिरोधक वर्तमान विभक्त प्रतिरोध मूल्यों के आधार पर सही धाराओं को आवंटित कर सकता है।
वर्तमान डिवाइडर सर्किट का विश्लेषण करने का एक कुशल तरीका प्रतिरोध के बजाय चालन का उपयोग करके है।चालन, प्रतिरोध का पारस्परिक, समानांतर रोकनेवाला सर्किट में वर्तमान वितरण को समझने की प्रक्रिया को सरल बनाता है।
समानांतर सर्किट में, कुल चालन की गणना सीधी है।कुल चालकताजीकुल प्रत्येक समानांतर रोकनेवाला के चालन का योग है:
कहाँ
समानांतर प्रतिरोधों के चालन हैं।
एक बार जब आप कुल चालकता जानते हैं, तो प्रत्येक शाखा के माध्यम से वर्तमान को ढूंढना आसान हो जाता है।द करेंट मैंएक्सचालकता के साथ एक शाखा मेंजीएक्स द्वारा दिया गया है:

यह सूत्र चालन का उपयोग करके शाखा धाराओं की प्रत्यक्ष गणना की अनुमति देता है, पहले समकक्ष प्रतिरोध की गणना करने की आवश्यकता को दरकिनार करता है और फिर पारंपरिक वर्तमान विभक्त नियम को लागू करता है।
चालन का उपयोग करना जटिल सर्किटों में विशेष रूप से फायदेमंद है जहां व्यक्तिगत और कुल प्रतिरोधों की गणना करना थकाऊ हो सकता है।चालन में प्रतिरोधों को परिवर्तित करना रकम को सरल बनाता है, जिससे वर्तमान गणना अधिक प्रत्यक्ष और संभावित त्रुटियों को कम करती है।वर्तमान डिवीजन के लिए चालन को अपनाना सर्किट विश्लेषण के लचीलेपन और दक्षता को बढ़ाता है।
वर्तमान डिवाइडर नियम को लागू करने के लिए चालन का उपयोग करना समानांतर सर्किट में वर्तमान प्रवाह का विश्लेषण करने का एक स्पष्ट तरीका प्रदान करता है।यह विधि विद्युत चालकता के गुणों के साथ संरेखित करती है, यह एक सहज ज्ञान युक्त समझ की पेशकश करती है कि विभिन्न शाखाओं में धाराएं कैसे वितरित करती हैं।
पारंपरिक प्रतिरोध-आधारित विधियों की तुलना में, चालन का उपयोग करना वर्तमान वितरण गणना को सरल बनाता है।इस दृष्टिकोण में, प्रत्येक शाखा का चालन अंश में है, उस उच्च चालन (कम प्रतिरोध) को उजागर करने से उच्च वर्तमान प्रवाह होता है।एक समानांतर सर्किट में किसी भी शाखा के माध्यम से वर्तमान द्वारा दिया गया है:

यहाँ,जीएक्स शाखा का चालन है,जीकुल सभी शाखाओं के चालन का योग है, औरमैंकुल सर्किट में प्रवेश करने वाला कुल करंट है।यह चालन-आधारित विधि कई समानांतर पथों के साथ सर्किट में वर्तमान प्रवाह की एक स्पष्ट तस्वीर प्रदान करती है।यह जटिल प्रणालियों में विशेष रूप से उपयोगी है, जहां चालन मान सीधे मापते हैं कि प्रत्येक घटक के माध्यम से वर्तमान प्रवाह कितनी आसानी से होता है।
एक वर्तमान डिवाइडर नियम जटिल विद्युत सर्किटों में वर्तमान प्रवाह का विश्लेषण करने के लिए एक महत्वपूर्ण उपकरण है, विशेष रूप से कई प्रतिरोधों के साथ समानांतर शाखाओं में।यह नियम प्रत्येक अवरोधक के माध्यम से व्यक्तिगत धाराओं का निर्धारण करने के लिए आवश्यक है, विशेष रूप से जटिल नेटवर्क में जहां प्रत्यक्ष माप चुनौतीपूर्ण या अव्यावहारिक है।
समानांतर रोकनेवाला: यह नियम विशेष रूप से समानांतर रोकनेवाला व्यवस्था के लिए डिज़ाइन किया गया है।उदाहरण के लिए, एक सर्किट में जहां प्रतिरोधक R1 और R2 समानांतर होते हैं, कुल वर्तमान में R1 और R2 द्वारा साझा किए गए नोड में प्रवेश करने वाला वर्तमान उनके प्रतिरोधों के विपरीत आनुपातिक रूप से आनुपातिक होता है।यह विभाजन प्रत्येक शाखा में धाराओं की गणना को सरल बनाता है, जिससे सर्किट विश्लेषण विभिन्न अनुप्रयोगों के लिए अधिक कुशल और विश्वसनीय हो जाता है, बुनियादी इलेक्ट्रॉनिक्स से लेकर उन्नत इंजीनियरिंग सिस्टम तक।
वर्दी वोल्टेज आवश्यकता: वर्तमान विभक्त नियम को लागू करने के लिए एक महत्वपूर्ण स्थिति प्रत्येक समानांतर शाखा में एक ही वोल्टेज है।यह एक समान वोल्टेज सटीक गणना सुनिश्चित करता है, प्रत्येक अवरोधक के लिए समान वोल्टेज स्तर मानता है।यदि वोल्टेज विसंगतियां हैं, तो सोर्स ट्रांसफॉर्मेशन जैसे सर्किट संशोधन - वर्तमान स्रोतों के बराबर वोल्टेज स्रोतों को कॉन्फ़िगर करना और इसके विपरीत - वर्तमान डिवाइडर नियम के लिए उपयुक्त शर्तों को पुनर्स्थापित करने के लिए आवश्यक हो सकते हैं।
रैखिक घटकों के लिए सीमा: वर्तमान डिवाइडर नियम केवल रैखिक घटकों के साथ काम करता है जो ओम के कानून का पालन करते हैं, जिसका अर्थ है कि एक घटक के माध्यम से वर्तमान इसके पार वोल्टेज के लिए आनुपातिक है और इसके प्रतिरोध के विपरीत आनुपातिक है।यह नियम डायोड या ट्रांजिस्टर जैसे गैर-रैखिक तत्वों पर लागू नहीं होता है, जिसका प्रतिरोध लागू वोल्टेज के साथ भिन्न होता है।ऐसे तत्वों के साथ सर्किट के लिए, विश्लेषकों को गैर-रैखिक विशेषताओं के अनुरूप वैकल्पिक तरीकों की आवश्यकता होती है, जैसे कि टुकड़े-टुकड़े रैखिक विश्लेषण या विशेष सिमुलेशन सॉफ्टवेयर।
स्थिर-राज्य स्थिति: वर्तमान डिवाइडर नियम मानता है कि सर्किट एक स्थिर स्थिति में है, जहां सभी वोल्टेज और धाराएं समय के साथ स्थिर रहती हैं।यह स्थिति महत्वपूर्ण है क्योंकि क्षणिक घटनाएं - जैसे घटकों के स्विचिंग या बंद हो जाती हैं - वर्तमान या वोल्टेज में अस्थायी उतार -चढ़ाव का कारण बन सकती हैं, संभावित रूप से विश्लेषण को तिरछा कर सकती है।गतिशील परिस्थितियों में, अधिक उन्नत तरीके, जैसे कि अंतर समीकरण मॉडलिंग या लाप्लास परिवर्तनों, क्षणिक व्यवहारों को पकड़ने और विश्लेषण करने के लिए बेहतर अनुकूल हैं, जो सर्किट की लौकिक गतिशीलता की विस्तृत समझ प्रदान करते हैं।
वर्तमान डिवाइडर नियम का व्यापक रूप से विभिन्न वास्तविक दुनिया के परिदृश्यों में उपयोग किया जाता है, जिसमें सरल सर्किट से लेकर दो प्रतिरोधों के साथ कई प्रतिरोधों और बिजली स्रोतों के साथ जटिल प्रणालियों तक होता है।ये उदाहरण प्रदर्शित करते हैं कि नियम कैसे प्रभावी और कुशल सर्किट संचालन सुनिश्चित करता है।

चित्र 6: बुनियादी दो-प्रतिरोधी सर्किट
एक नोड में बहने वाले 10 एम्पीयर के कुल वर्तमान के साथ एक साधारण समानांतर सर्किट पर विचार करें और दो प्रतिरोधों के बीच विभाजन,
वर्तमान डिवाइडर नियम प्रत्येक अवरोधक के माध्यम से वर्तमान की गणना करता है:

यह उदाहरण दिखाता है कि कैसे वर्तमान को आनुपातिक रूप से प्रतिरोध मूल्यों के आधार पर विभाजित किया जाता है, जिसमें कम प्रतिरोध अधिक वर्तमान ड्राइंग होता है।

चित्र 7: जटिल बहु-प्रतिरोधी सर्किट
अधिक जटिल परिदृश्य के लिए, कई प्रतिरोधों के साथ एक सर्किट पर विचार करें और 15 एम्पीयर के कुल वर्तमान।प्रतिरोधक
समानांतर में जुड़े हुए हैं।वर्तमान डिवाइडर नियम का उपयोग करना:

प्रत्येक अवरोधक के माध्यम से वर्तमान द्वारा पाया जा सकता है:

यह गणना दर्शाती है कि विभिन्न प्रतिरोध वर्तमान वितरण को कैसे प्रभावित करते हैं।
वर्तमान डिवाइडर इलेक्ट्रॉनिक्स और इलेक्ट्रिकल इंजीनियरिंग के भीतर विभिन्न अनुप्रयोगों में एक प्रमुख भूमिका निभाते हैं।वे घटक पूर्वाग्रह से लेकर सिस्टम मॉनिटरिंग तक की कार्यक्षमता के लिए आवश्यक हैं।

चित्र 8: इलेक्ट्रॉनिक सर्किट में बायसिंग ट्रांजिस्टर
ट्रांजिस्टर को पूर्वाग्रह के लिए वर्तमान डिवाइडर की आवश्यकता होती है।ट्रांजिस्टर के आधार पर बहने वाले करंट को सटीक रूप से विभाजित करके, वे सक्रिय क्षेत्र के भीतर इसके ऑपरेटिंग बिंदु को सेट करने में मदद करते हैं।यह डिजिटल सर्किट में स्थिर एम्पलीफायर प्रदर्शन और कुशल स्विचिंग सुनिश्चित करता है।

चित्र 9: बिजली की आपूर्ति का वर्तमान वितरण
बिजली की आपूर्ति सर्किट में, वर्तमान डिवाइडर विभिन्न घटकों के बीच सुरक्षित और कुशलता से वर्तमान वितरित करते हैं।यह घटक अधिभार को रोकता है और बिजली की आपूर्ति की विश्वसनीयता और दक्षता को बढ़ाते हुए, अलग -अलग लोड स्थितियों के तहत स्थिर आउटपुट वोल्टेज को बनाए रखता है।

चित्र 10: वर्तमान संवेदन तंत्र
वर्तमान डिवाइडर वर्तमान संवेदन अनुप्रयोगों में निर्णायक हैं।वे सेंसर के माध्यम से करंट की एक प्रबंधनीय मात्रा को निर्देशित करते हैं, जो मोटर कंट्रोल सिस्टम जैसे उच्च-वर्तमान वातावरण में प्रमुख है।एक छोटे, आनुपातिक वर्तमान को मापने से प्रभावी प्रणाली की निगरानी और नियंत्रण की अनुमति मिलती है।

चित्र 11: वोल्टेज-टू-वर्तमान रूपांतरण
वोल्टेज-से-वर्तमान रूपांतरण प्रक्रियाओं में, वर्तमान डिवाइडर किसी दिए गए इनपुट वोल्टेज के आधार पर आउटपुट करंट को समायोजित करते हैं।यह ट्रांसड्यूसर इंटरफेसिंग में महत्वपूर्ण है, जहां सेंसर सिग्नल को सिग्नल अखंडता को खोए बिना लंबी दूरी के संचरण के लिए वर्तमान में परिवर्तित करने की आवश्यकता है।

चित्रा 12: इलेक्ट्रॉनिक सिस्टम में सिग्नल वितरित करना
वर्तमान डिवाइडर भी इलेक्ट्रॉनिक सिस्टम के भीतर संकेतों को वितरित करते हैं, यह सुनिश्चित करते हुए कि संकेतों को न्यूनतम नुकसान या विरूपण के साथ समानांतर मार्गों के बीच साझा किया जाता है।
वर्तमान अनुपात और समानांतर सर्किट में वर्तमान डिवाइडर नियम की खोज दूरगामी अनुप्रयोगों के साथ इलेक्ट्रिकल इंजीनियरिंग के एक मौलिक पहलू को स्पष्ट करती है।यह समझकर कि वर्तमान को उनके प्रतिरोध के आधार पर विभिन्न शाखाओं में कैसे वितरित किया जाता है, इंजीनियर ऐसे सर्किट डिजाइन कर सकते हैं जो कुशल और सुरक्षित दोनों हैं।ओम के कानून और किरचॉफ के वर्तमान कानून जैसे तकनीकी सिद्धांतों पर चर्चा की गई, न केवल सैद्धांतिक निर्माण हैं, बल्कि व्यावहारिक अनुप्रयोगों के लिए महत्वपूर्ण हैं, जैसे कि ट्रांजिस्टर के पूर्वाग्रह, बिजली की आपूर्ति सर्किट के डिजाइन और वर्तमान संवेदन तंत्रों में कार्यान्वयन।
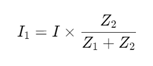
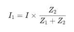
कैपेसिटर युक्त एक सर्किट में, वर्तमान डिवाइडर नियम प्रतिबाधा पर आधारित है (जो आवृत्ति-निर्भर प्रतिक्रिया वाले कैपेसिटर के कारण आवृत्ति पर निर्भर करता है)।एक समानांतर नेटवर्क में संधारित्र के माध्यम से वर्तमान के लिए सूत्र है:

कहाँ मैंनेटवर्क में प्रवेश करने वाला कुल करंट हैजेडसी संधारित्र का प्रतिबाधा है, और जेडकुलसमानांतर नेटवर्क के समकक्ष प्रतिबाधा है।
एक वोल्टेज डिवाइडर एक सर्किट है जो किसी विशेष लोड में अपने इनपुट वोल्टेज के एक अंश को आउटपुट करता है।यह आमतौर पर श्रृंखला में दो प्रतिरोधों के होते हैं, जिनमें से एक में आउटपुट वोल्टेज लिया जाता है।
एक वर्तमान डिवाइडर एक कॉन्फ़िगरेशन है जहां आने वाला वर्तमान एक सर्किट में कई रास्तों में विभाजित होता है जिसमें विभिन्न शाखाओं के साथ उनके प्रतिबाधा होती है।वर्तमान का वितरण प्रत्येक शाखा के प्रतिबाधा पर निर्भर करता है।
दो शाखाओं के साथ एक बुनियादी वर्तमान डिवाइडर सर्किट के लिए प्रतिबाधाजेड1 और जेड2 के माध्यम से वर्तमानजेड1 द्वारा दिया गया है:

यह सूत्र किसी भी निष्क्रिय घटक (प्रतिरोधों, कैपेसिटर, इंडक्टर्स) पर लागू होता है, प्रतिबाधा को उचित रूप से समायोजित करता है।
एक सर्किट में वर्तमान के लिए हल करने के लिए, आप आमतौर पर ओम के नियम का उपयोग करते हैं,
कहाँवी वोल्टेज है,मैं वर्तमान है, और आर प्रतिरोध है।अधिक जटिल सर्किटों में, आप किरचॉफ के करंट लॉ (KCL) और किरचॉफ के वोल्टेज लॉ (KVL) का उपयोग कर सकते हैं, साथ ही यदि मौजूद हैं तो कैपेसिटर और इंडक्टर्स के लिए प्रतिबाधा मूल्यों के साथ।
ओम का कानून विद्युत सर्किट में संबंधों को समझने के लिए मौलिक है, यह कहते हुए कि दो बिंदुओं के बीच एक कंडक्टर के माध्यम से वर्तमान दो बिंदुओं पर वोल्टेज के लिए सीधे आनुपातिक है और प्रतिरोध के विपरीत आनुपातिक है।
Kirchhoff के वर्तमान कानून (KCL) में कहा गया है कि जंक्शन में प्रवेश करने वाले कुल वर्तमान को जंक्शन छोड़ने वाले कुल वर्तमान के बराबर होना चाहिए।
Kirchhoff के वोल्टेज कानून (KVL) में कहा गया है कि किसी भी बंद नेटवर्क के आसपास विद्युत संभावित अंतर का योग शून्य है।
कृपया एक जांच भेजें, हम तुरंत जवाब देंगे।
2024/06/17 पर
2024/06/14 पर
8000/04/18 पर 147757
2000/04/18 पर 111935
1600/04/18 पर 111349
0400/04/18 पर 83719
1970/01/1 पर 79508
1970/01/1 पर 66903
1970/01/1 पर 63027
1970/01/1 पर 63010
1970/01/1 पर 54081
1970/01/1 पर 52121