
चित्र 1: संधारित्र सर्किट
विद्युत सर्किट में, संधारित्र बिजली के चार्ज के भंडारण और निर्वहन दोनों के लिए एक उद्देश्य परोसें।उनके पास दो प्रवाहकीय प्लेटें हैं जो एक इन्सुलेट ढांकता हुआ द्वारा अलग की जाती हैं।चार्ज करने की उनकी क्षमता को फैराड्स में मापा जाता है।

चित्र 2: संधारित्र
कैपेसिटर को श्रृंखला या समानांतर में जोड़ा जा सकता है।श्रृंखला में, अधिक कैपेसिटर समग्र समाई को कम करते हैं, जो कम कैपेसिटेंस प्राप्त करने के लिए उपयोगी है।समानांतर में, अधिक कैपेसिटर कुल समाई बढ़ाते हैं, जो छोटे स्थानों में उच्च समाई के लिए आदर्श हैं, जैसे कि बिजली की आपूर्ति फिल्टर।ढांकता हुआ सामग्री एक संधारित्र के प्रदर्शन को प्रभावित करती है, अधिकतम चार्ज, ब्रेकडाउन वोल्टेज और सर्किट आवृत्ति प्रतिक्रिया का निर्धारण करती है।उन्नत कैपेसिटर उच्च समाई, तापमान स्थिरता और कम रिसाव के लिए सिरेमिक, टैंटालम, या बहुलक इलेक्ट्रोलाइट्स जैसी सामग्री का उपयोग करते हैं।

चित्र 3: संधारित्र
यहां उनके गुणों की एक सरल व्याख्या है और इन विन्यासों को वांछित समाई प्राप्त करने के लिए कैसे व्यवस्थित किया जा सकता है।

चित्र 4: समाई श्रृंखला
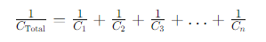
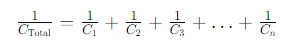
जब आप श्रृंखला में कैपेसिटर को जोड़ते हैं, तो समग्र समाई छोटी हो जाती है।ऐसा इसलिए होता है क्योंकि चार्ज को अधिक सामग्री के माध्यम से यात्रा करना पड़ता है, जिससे चार्ज को स्टोर करना कठिन हो जाता है।कुल समाई (1/सी)कुल) प्रत्येक व्यक्तिगत संधारित्र के पारस्परिकता का योग (1/सी) है1 + 1/सी2 + ... + 1/सीएन)।समग्र समाई हमेशा श्रृंखला में सबसे छोटे संधारित्र से कम है।श्रृंखला में कुल समाई की गणना करने का सूत्र है:

विशिष्ट समाई आवश्यकताओं को पूरा करने के लिए कैपेसिटर चुनते समय सर्किट डिजाइनरों को इस सुविधा को ध्यान में रखना चाहिए।अंतरिक्ष और अनुप्रयोग की आवश्यकताओं जैसे व्यावहारिक बाधाओं से श्रृंखला में कैपेसिटर की संख्या को सीमित किया जा सकता है, और अलग -अलग वोल्टेज वितरण जटिलता को जोड़ सकते हैं जब तक कि कैपेसिटर समान नहीं होते हैं।

चित्र 5: समानांतर समानांतर
जब कैपेसिटर समानांतर में जुड़े होते हैं, तो कुल समाई बढ़ जाती है।ऐसा इसलिए है क्योंकि सभी कैपेसिटर का संयुक्त सतह क्षेत्र एक ही वोल्टेज पर अधिक चार्ज को संग्रहीत करने की अनुमति देता है।कुल समाईकुल) प्रत्येक संधारित्र की समाई का योग है (सी)1 + सी2 + ... + सीएन)।समग्र समाई सबसे बड़े एकल संधारित्र से अधिक होगी।समानांतर में कुल समाई की गणना करने का सूत्र है:

हालांकि, कैपेसिटर की एक असीमित संख्या को समानांतर, व्यावहारिक सीमाओं, सर्किट उद्देश्य और डिजाइन की बाधाओं जैसी व्यावहारिक सीमाओं में जोड़ा जा सकता है, अक्सर संख्या को सीमित करते हैं।उपयुक्त वोल्टेज रेटिंग और सहिष्णुता के साथ उच्च गुणवत्ता वाले कैपेसिटर विश्वसनीय सर्किट प्रदर्शन के लिए अच्छे हैं।यह सूत्र समाई मूल्यों पर सटीक नियंत्रण की अनुमति देता है, जिससे डिजाइनरों को सर्किट व्यवहार, ऊर्जा दक्षता और प्रदर्शन का अनुकूलन करने में सक्षम बनाया जाता है, जिससे यह इलेक्ट्रॉनिक्स और इलेक्ट्रिकल इंजीनियरिंग की आधारशिला बन जाता है।

चित्र 6: श्रृंखला और समानांतर
एक श्रृंखला संधारित्र सर्किट में एक ही पथ के साथ क्रमिक रूप से जुड़े कैपेसिटर की सुविधा है, यह सुनिश्चित करता है कि प्रत्येक घटक के माध्यम से समान आवेश या धाराएं पार करते हैं।यह कैपेसिटर के पार एक समान वर्तमान प्रवाह की गारंटी देता है, ऐसे सर्किट के व्यवहार को समझने के लिए एक मौलिक पहलू।

चित्र 7: श्रृंखला संधारित्र सर्किट
एक श्रृंखला सेटअप में, प्रत्येक संधारित्र को एक ही चार्ज को संभालना होगा।जब एक डीसी वोल्टेज स्रोत लागू किया जाता है, तो श्रृंखला कनेक्शन यह निर्धारित करता है कि इस संतुलन को बनाए रखने के लिए कैपेसिटर के साथ पुनर्वितरण का शुल्क लेता है।उदाहरण के लिए, यदि एक वोल्टेज स्रोत कैपेसिटर सी से जुड़ा हुआ है1, सी2, और सी3 मान 2F, 4F, और 6F क्रमशः, निम्नलिखित होता है:
• सी का दाईं ओर3 बैटरी के सकारात्मक टर्मिनल की ओर इलेक्ट्रॉनों के आकर्षण के कारण सकारात्मक रूप से चार्ज हो जाता है।
• सी पर इलेक्ट्रॉनों का यह घाटा3सही प्लेट सी पर एक समान घाटे को प्रेरित करती है2सही प्लेट, और क्रमिक रूप से एक ही प्रभाव C1 पर होता है।
• कैपेसिटर के पार यह श्रृंखला प्रतिक्रिया एक समान चार्ज वितरण सुनिश्चित करती है।
उदाहरण:
कैपेसिटेंस सी दिया1= 2 एफ, सी2= 4 एफ, सी3= 6F और 10V का एक डीसी वोल्टेज, हम चार्ज और वोल्टेज वितरण का निर्धारण कर सकते हैं:


चित्र 8: नमूना श्रृंखला
CTOTAL की गणना लगभग 0.92F है।
Q = C × V का उपयोग करना, जहां Q चार्ज है और V वोल्टेज है:

इस प्रकार, प्रत्येक संधारित्र 9.2C का शुल्क रखता है।
प्रत्येक संधारित्र में वोल्टेज v = cq का उपयोग करके पाया जाता है:

व्यक्तिगत वोल्टेज का योग, वी1+वी2+वी3, स्रोत वोल्टेज (10V) के बराबर होना चाहिए।यहां, यह लगभग 8.43V की गणना करता है, जो हमारे प्रारंभिक अनुमानों या मान्यताओं में एक संभावित राउंडिंग या गणना त्रुटि का संकेत देता है।
एक समानांतर संधारित्र सर्किट एक इलेक्ट्रॉनिक सेटअप है जहां कैपेसिटर सामान्य बिंदुओं पर साइड-बाय-साइड से जुड़े होते हैं, प्रत्येक को एक ही वोल्टेज के तहत स्वतंत्र रूप से संचालित करने की अनुमति देता है।यह श्रृंखला सर्किट से अलग है, जहां कैपेसिटर एक चार्ज साझा करते हैं।

चित्र 9: समानांतर संधारित्र सर्किट
एक समानांतर में, प्रत्येक संधारित्र में वोल्टेज समान है।हालांकि, प्रत्येक संधारित्र स्टोर चार्ज इसकी समाई के आधार पर भिन्न होता है।एक उच्च समाई का मतलब है कि एक संधारित्र अधिक चार्ज स्टोर कर सकता है।उदाहरण के लिए, यदि हमारे पास 8 Farads (F) और 4F के कैपेसिटर हैं, तो 8F संधारित्र 4F संधारित्र की तुलना में अधिक शुल्क संग्रहीत करेगा जब दोनों एक ही वोल्टेज के नीचे हों।
समानांतर कैपेसिटर का एक प्रमुख लाभ समग्र समाई में वृद्धि है।श्रृंखला सर्किट के विपरीत, जहां कुल समाई किसी भी व्यक्तिगत संधारित्र से कम है, समानांतर में, कुल समाई सभी व्यक्तिगत समाई का योग है।ऐसा इसलिए होता है क्योंकि प्लेट क्षेत्र प्रभावी रूप से उनके बीच की दूरी को बदले बिना बढ़ाता है, जिससे सर्किट की क्षमता को स्टोर करने की क्षमता बढ़ जाती है।
उदाहरण:

चित्र 10: नमूना समानांतर
10V डीसी पावर स्रोत के समानांतर में जुड़े तीन कैपेसिटर के साथ एक सर्किट पर विचार करें।कैपेसिटर में ये कैपेसिटेंस हैं: सी1 = 8f, c2 = 4 एफ, और सी3 = 2 एफ।प्रत्येक संधारित्र एक ही 10V का अनुभव करता है, लेकिन उनकी समाई के आधार पर अलग -अलग शुल्क संग्रहीत करता है:
समावेशी1: 8F के साथ, यह 80 coulombs (c) का एक चार्ज संग्रहीत करता है, जिसे Q = C × V के रूप में गणना की जाती है, जो 8F × 10V = 80C है।
समावेशी2: 4F के साथ, यह 40C का एक चार्ज संग्रहीत करता है, जिसकी गणना 4F × 10V = 40C के रूप में की जाती है।
समावेशी3: 2F के साथ, यह 20C का एक चार्ज संग्रहीत करता है, जिसकी गणना 2F × 10V = 20C के रूप में की जाती है।
सर्किट में कुल चार्ज सभी शुल्कों का योग है: क्यूटी= Q1+क्यू2+क्यू3= 80C+40C+20C = 140C
यह जोड़ दिखाता है कि कैसे एक समानांतर संधारित्र सर्किट व्यक्तिगत कैपेसिटर की समाई को मिलाकर चार्ज भंडारण को बढ़ाता है।एक समानांतर संधारित्र सर्किट कुल समाई और चार्ज भंडारण क्षमता को बढ़ाता है, प्रत्येक संधारित्र एक ही वोल्टेज का अनुभव करता है।
यह समझने के लिए कि श्रृंखला या समानांतर में व्यवस्थित कैपेसिटर में ऊर्जा को कैसे संग्रहीत किया जाता है, हम एकल संधारित्र में संग्रहीत ऊर्जा के लिए मूल सूत्र के साथ शुरू करते हैं:

यहाँ, यूसी जूल में ऊर्जा है, क्यू कूलोम्ब्स में चार्ज है, और सी फैराड्स में कैपेसिटेंस है।
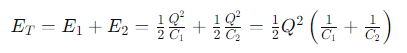
श्रृंखला में कैपेसिटर के लिए, कैपेसिटेंस C1 और C2 के साथ दो कैपेसिटर पर विचार करें।प्रत्येक संधारित्र के लिए चार्ज और वोल्टेज के बीच संबंध c = vq द्वारा दिया गया है।एक श्रृंखला कॉन्फ़िगरेशन में, एक ही चार्ज क्यू प्रत्येक संधारित्र पर है:

सिस्टम में संग्रहीत कुल ऊर्जा व्यक्तिगत ऊर्जा का योग है:

इससे पता चलता है कि श्रृंखला कैपेसिटर की प्रभावी समाई व्यक्तिगत कैपेसिटेंस का पारस्परिक योग है, जो कुल समाई कम हो जाती है और एकल या समानांतर कॉन्फ़िगरेशन की तुलना में ऊर्जा भंडारण को बदल देती है।
समानांतर में कैपेसिटर के लिए, प्रत्येक संधारित्र के पास एक ही वोल्टेज होता है।प्रत्येक के लिए ऊर्जा वोल्टेज-आधारित सूत्र का उपयोग करके व्यक्त की जा सकती है:

अगर दो कैपेसिटर सी1 और सी2 समानांतर में हैं और उनके पास एक ही वोल्टेज v है, उनका कुल ऊर्जा भंडारण है:

इस गणना से पता चलता है कि समानांतर कैपेसिटर के लिए कुल समाई व्यक्तिगत कैपेसिटेंस का योग है, जो व्यक्तिगत या श्रृंखला कॉन्फ़िगरेशन की तुलना में संग्रहीत कुल ऊर्जा को बढ़ाता है।
श्रृंखला में कैपेसिटर का उपयोग करने से कुछ फायदे मिलते हैं, जिसमें एक समग्र समग्र वोल्टेज शामिल है।यह कॉन्फ़िगरेशन अधिक प्रभावी वोल्टेज बैलेंसिंग के लिए भी अनुमति देता है, खासकर जब उच्च-मूल्य प्रतिरोधों (लगभग 100kω या उच्चतर) को वोल्टेज के अधिक वितरण को सुनिश्चित करने के लिए प्रत्येक संधारित्र में रखा जाता है।
श्रृंखला में कैपेसिटर का उपयोग करना नुकसान के साथ आता है, जिसमें असमान वोल्टेज साझा करने का मुद्दा भी शामिल है।लीकेज धाराओं में भिन्नता, विशेष रूप से इलेक्ट्रोलाइटिक कैपेसिटर में, एक संधारित्र को ओवर-वोल्टेज का अनुभव कर सकता है, जिससे नुकसान हो सकता है।विनिर्माण या उम्र बढ़ने की दरों में मामूली अंतर भी रिसाव वर्तमान में भिन्नता में योगदान करते हैं, जिससे वोल्टेज वितरण को प्रभावित किया जाता है।इलेक्ट्रोलाइटिक कैपेसिटर में रिसाव वर्तमान समय के साथ बढ़ता है, खासकर यदि वे नियमित रूप से उपयोग नहीं किए जाते हैं।यहां तक कि जगह में प्रतिरोधों को संतुलित करने के साथ, विश्वसनीय संचालन सुनिश्चित करने के लिए, विशेष रूप से इलेक्ट्रोलाइटिक कैपेसिटर के लिए काम करने वाले वोल्टेज में एक मार्जिन छोड़ने की आवश्यकता है।
बढ़ी हुई ऊर्जा भंडारण: समानांतर भंडार में कैपेसिटर को जोड़ना अधिक ऊर्जा की तुलना में अधिक ऊर्जा है जब वे श्रृंखला में होते हैं क्योंकि उनकी कुल समाई सभी व्यक्तिगत कैपेसिटर का योग है।
बेहतर वोल्टेज संतुलन: समानांतर संधारित्र बैंक कम संतुलन प्रतिरोधों के साथ बेहतर वोल्टेज संतुलन प्राप्त करते हैं, लागत और बिजली के नुकसान को कम करते हैं।
लागत दक्षता: समानांतर कनेक्शन में कम संतुलन प्रतिरोधक पैसे बचाते हैं और सिस्टम को सरल बनाते हैं।
वोल्टेज सीमा: एक समानांतर सर्किट में, सभी कैपेसिटर एक ही वोल्टेज साझा करते हैं।अधिकतम वोल्टेज सबसे कम-रेटेड संधारित्र द्वारा सीमित है।उदाहरण के लिए, यदि एक संधारित्र को 200V और अन्य पर 500V पर रेट किया गया है, तो पूरी प्रणाली केवल 200V को संभाल सकती है।
सुरक्षा जोखिम: समानांतर कैपेसिटर स्टोर करते हैं और बड़ी मात्रा में ऊर्जा को जल्दी से जारी करते हैं, जो कि शॉर्ट सर्किट होने पर खतरनाक हो सकता है, संभावित रूप से गंभीर क्षति और चोटों का कारण बनता है।
सिस्टम विफलता जोखिम: जटिल लेआउट में, यदि एक संधारित्र विफल हो जाता है, तो दूसरों को पूर्ण वोल्टेज को संभालना चाहिए, जिससे पूरे सिस्टम की संभावित विफलता हो।यह जोखिम श्रृंखला कनेक्शन में कम है जहां एक संधारित्र की विफलता दूसरों को प्रभावित नहीं करती है।
कैपेसिटर पर यह विस्तृत नज़र हमें उनके कार्यों और आधुनिक इलेक्ट्रॉनिक्स में उनके उपयोग के लिए महत्वपूर्ण विचारों को समझने में मदद करती है।श्रृंखला सेटअप काम करने वाले वोल्टेज को बढ़ाते हैं और वोल्टेज वितरण का प्रबंधन करते हैं लेकिन कैपेसिटेंस को कम करते हैं और विविधताओं के प्रति संवेदनशीलता बढ़ाते हैं।समानांतर सेटअप कुल समाई और ऊर्जा भंडारण को बढ़ावा देते हैं, जो छोटे स्थानों में ऊर्जा प्रबंधन के लिए अच्छा है, लेकिन यदि एक संधारित्र विफल हो जाता है तो वे जोखिम भरा हो सकते हैं।श्रृंखला और समानांतर कॉन्फ़िगरेशन के बीच चयन विशिष्ट इंजीनियरिंग की जरूरतों पर निर्भर करता है, स्थान, लागत और प्रदर्शन को संतुलित करता है।सैद्धांतिक और व्यावहारिक अंतर्दृष्टि विश्वसनीय और कुशल विद्युत प्रणालियों को सुनिश्चित करने के लिए सावधान संधारित्र चयन और सर्किट डिजाइन पर जोर देती है।
श्रृंखला कैपेसिटर का उपयोग मुख्य रूप से उच्च आवृत्तियों पर एक सर्किट के प्रतिबाधा को कम करने के लिए किया जाता है, जो लंबी दूरी पर बिजली संचरण में सुधार करता है और वोल्टेज विनियमन को बढ़ाता है।जब कैपेसिटर श्रृंखला में जुड़े होते हैं, तो कुल समाई कम हो जाती है।यह कॉन्फ़िगरेशन सभी कैपेसिटर से गुजरने के लिए एक ही चार्ज को मजबूर करता है, जिसके परिणामस्वरूप प्रत्येक संधारित्र में कुल वोल्टेज का एक विभाजन होता है, जो इसके समाई मूल्य के अनुसार होता है।यह विशेषता सिग्नल कपलिंग और फ़िल्टरिंग जैसे अनुप्रयोगों में विशेष रूप से उपयोगी है, जहां लक्ष्य को वर्तमान (एसी) को पारित करने की अनुमति देते हुए प्रत्यक्ष वर्तमान (डीसी) को ब्लॉक करना है।
श्रृंखला कैपेसिटर का उपयोग तब किया जाता है जब एक सर्किट के प्रतिबाधा को समायोजित करने की आवश्यकता होती है, विशेष रूप से उच्च-आवृत्ति अनुप्रयोगों में।वे एक सर्किट में वोल्टेज डिवीजन को प्राप्त करने के लिए भी नियोजित हैं।पावर सिस्टम में, श्रृंखला कैपेसिटर का उपयोग लंबी ट्रांसमिशन लाइनों में आगमनात्मक प्रतिक्रिया की भरपाई करके पावर ट्रांसमिशन लाइनों की क्षमता को बढ़ाने के लिए किया जाता है, इस प्रकार अधिक वर्तमान को समान वोल्टेज स्थितियों के तहत प्रवाह करने की अनुमति मिलती है।
दो कैपेसिटर श्रृंखला में हैं यदि वे एंड-टू-एंड से जुड़े होते हैं, एक के सकारात्मक टर्मिनल के साथ एक दूसरे के नकारात्मक टर्मिनल से जुड़े होते हैं, और अन्य सर्किट घटकों को शामिल करने वाले कनेक्शन के केवल दो बिंदु होते हैं।यह व्यवस्था यह सुनिश्चित करती है कि उनके माध्यम से बहने वाला चार्ज और डिस्चार्ज करंट समान है।इसकी पुष्टि करने के लिए कुल समाई की गणना भी की जा सकती है;श्रृंखला कैपेसिटर के लिए, कुल समाई का पारस्परिकता व्यक्तिगत कैपेसिटेंस के पारस्परिकता का योग है।
जब कैपेसिटर समानांतर में जुड़े होते हैं, तो सर्किट की कुल समाई बढ़ जाती है।यह कॉन्फ़िगरेशन प्रत्येक संधारित्र को समान वोल्टेज रखने की अनुमति देता है, जिससे कैपेसिटर में चार्ज क्षमता का संचय होता है।समानांतर कैपेसिटर का उपयोग अक्सर वोल्टेज को स्थिर करने और उन प्रणालियों में अधिक चार्ज स्टोर करने के लिए किया जाता है जहां व्यक्तिगत कैपेसिटर की वोल्टेज रेटिंग को बढ़ाए बिना एक उच्च कैपेसिटेंस की आवश्यकता होती है।
कॉन्फ़िगरेशन स्वयं मूल आपूर्ति वोल्टेज को नहीं बढ़ाता है;हालांकि, सर्किट के भीतर वोल्टेज वितरण भिन्न होता है।एक श्रृंखला कॉन्फ़िगरेशन में, वोल्टेज को उनके व्यक्तिगत समाई के आधार पर कैपेसिटर के बीच विभाजित किया जाता है।इसके विपरीत, एक समानांतर कॉन्फ़िगरेशन में, प्रत्येक संधारित्र में वोल्टेज आपूर्ति वोल्टेज के समान रहता है।
हां, एक समानांतर सर्किट में, प्रत्येक संधारित्र में वोल्टेज समान है और सर्किट को आपूर्ति किए गए कुल वोल्टेज के बराबर है।वोल्टेज का यह समान वितरण समानांतर कैपेसिटर को कई घटकों में लगातार वोल्टेज की आवश्यकता वाले अनुप्रयोगों के लिए आदर्श बनाता है।
कृपया एक जांच भेजें, हम तुरंत जवाब देंगे।
2024/06/11 पर
2024/06/11 पर
8000/04/18 पर 147757
2000/04/18 पर 111935
1600/04/18 पर 111349
0400/04/18 पर 83719
1970/01/1 पर 79508
1970/01/1 पर 66901
1970/01/1 पर 63021
1970/01/1 पर 63010
1970/01/1 पर 54081
1970/01/1 पर 52121